ÌâÄ¿ÄÚÈÝ

2002ÄêÈ«ÇòÓÐÒ»°Ù¶à¼Ü·É»úʧÊ£®¾Ýͳ¼Æ£¬40£¥µÄ·É»úʧÊÂʱ»ú²ÕÄÚ±ÚºÍ×ùÒεÄËÜÁÏ»á×Å»ððÑÌ£¬µ¼Ö²ÕÄÚÈËÔ±ÖÏÏ¢ËÀÍö£®Îª´Ë£¬Ñ°ÕÒ×°ÐÞ»ú²ÕµÄ×èȼÐÔ¾ÛºÏÎïÊÇ»¯Ñ§Ñо¿µÄÈȵãÖ®Ò»£®×î½ü£¬ÓÐÈ˺ϳɳöÒ»ÖÖ½ÐPHAµÄ¾Ûõ£°·Àà¸ß·Ö×Ó£®Î¶ȴï180¡«200¡æÊ±£¬PHA¾Í»áÍÑȥˮ·Ö×Ó±ä³ÉPBO£¬ºóÕß×Å»ðµã¸ß´ï600¡æ£¬Ê¹²ÕÄÚÈËÔ±ÌÓÀë»ú²ÕµÄʱ¼ä±Èͨ³£ÑÓ³¤10±¶£®¸Ã·¢Ã÷´´ÔìµÄÇÉÃîÖ®´¦»¹ÔÚÓÚ£¬PHAÊÇÈÈËÜÐÔµÄËÜÁÏ£¬¶øPBOÈ´Ê®·Ö¼áÓ²£¬ÊÇÈȹÌÐÔµÄËÜÁÏ£®

ÊԻشðÏÂÁÐÎÊÌ⣺

(1)Èôij»ú²ÕÄÚ±ÚºÍ×ùÒξùΪ¾Û±ûÏ©ËÜÁÏ£¬·É»úʧʺó£¬ÊÔÍÆ²â¾Û±ûÏ©ËÜÁÏÔÚȼÉÕ¹ý³ÌÖвúÉúµÄÆøÌå¿ÉÄÜÊÇ________£¬²úÉúµÄ¹ÌÌåÎïÖÊ¿ÉÄÜÊÇ________£®

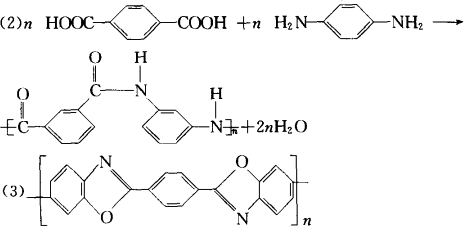
(2)NomexÏËάÊÇÒ»ÖÖÐÂÐÍ×èȼÐÔÏËά£¬Ëü¿ÉÓúÍÔÚÒ»¶¨Ìõ¼þϰ´µÈÎïÖʵÄÁ¿Ëõ¾Û¶ø³É£¬Óû¯Ñ§·½³Ìʽ±íʾÕâÒ»¹ý³Ì________£®

(3)ÒÑÖªPHAµÄ½á¹¹Ê½Îª£º

ÊÔд³öµ±Î¶ȴﵽ180¡«200¡æÊ±£¬PHA½á¹¹Ê½ÖÐôÊ»ù()ÉϵÄÑõÔ­×ӻ£¬Ã¿Ò»¸öÁ´½ÚÖÐÒÔôÊ»ùÉϵÄÑõÔ­×ÓΪÖÐÐÄÍÑÈ¥2¸öË®·Ö×Ó£¬ÐγÉPBOµÄ½á¹¹¼òʽ________£®

(4)ÓÉNomexÏËάºÍPHAµÄ½á¹¹¼òʽ·ÖÎö¿ÉÖª£¬ÒªÏëºÏ³É×èȼÐԸ߷Ö×Ó»¯ºÏÎï²ÄÁÏ£¬¸ß·Ö×ÓÖ÷Á´ÖбØÐ뺬ÓÐ________¼ü£®

(5)½âÊÍÏÂÁвÄÁÏÊõÓ

ÈÈËÜÐÔËÜÁÏ£º________£®

ÈȹÌÐÔËÜÁÏ£º________£®

´ð°¸£º
½âÎö£º

¡¡¡¡´ð°¸£º(1)CO2¡¢CO¡¢H2O(g)£»Ñ̳¾

¡¡¡¡

¡¡¡¡(4)£­CONH£­(»òõ£°·»òëÄ)

¡¡¡¡(5)Ò»¾­¼Ó¹¤³ÉÐͺóÊÜÈȺó¿ÉÈÛ»¯µÄËÜÁÏ£»Ò»¾­¼Ó¹¤³ÉÐͺóÊÜÈȺó²»ÔÙÈÛ»¯µÄËÜÁÏ

¡¡¡¡


Ìáʾ£º

Óɾ۱ûÏ©×é³ÉÕÒȼÉÕ²úÎ²Î¼ÓËõ¾Û·´Ó¦µÄ¹ÙÄÜÍż°¶ÔëļüµÄ¿¼²é£®


Á·Ï°²áϵÁдð°¸
Ïà¹ØÌâÄ¿

Î¥·¨ºÍ²»Á¼ÐÅÏ¢¾Ù±¨µç»°£º027-86699610 ¾Ù±¨ÓÊÏ䣺58377363@163.com

¾«Ó¢¼Ò½ÌÍø