题目内容

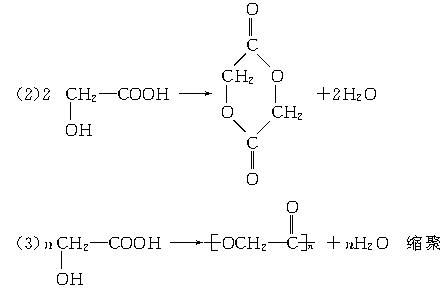
  医用化学杂志报道,用聚乙交酯纤维材料C制作的缝合线比天然高分子材料的肠线为好.它的合成过程如下:

  

  (1)写出A的结构简式:__________

  (2)写出A制取B的化学方程式:__________

  (3)也可以由A直接制备C,则A→C直接制备的化学方程式为__________,其反应类型为__________反应.

 

答案:
解析:

  

 


提示:

提示:(1)(逆推法):B分子中含有2个酯键,1 mol B水解可得2 mol A,A为

  .(2)由A到B发生缩合反应,方程式易写,注意不要丢掉小分子.

  (3)由A分子间缩聚可直接生成C.

 


练习册系列答案
相关题目

违法和不良信息举报电话:027-86699610 举报邮箱:58377363@163.com

精英家教网