题目内容

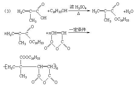
为扩大现有资源的使用效率,在一些油品中加入降凝剂了,以降低其凝固点,扩大燃料油品的使用范围。丁是一种高子分聚合物,它的合成路线可以设计如下:其中A的氧化产物不发生银镜反应:

试写出:

1)反应类型:a________b________p________

2)结构简式:F________H________

3)化学方程式:DE_________

E+KJ________

 

答案:
解析:

解析  本题先要正确判断丁的类属,从丁分子组成看,它是一种加聚产物,从中判断E是,K是,然后根据现有的原料信息和有关反应规律,运用正向和逆向思维方式,确定A、D和H、G、F的结构简式。

答案:(1)加成;消去;水解(或取代)

 


练习册系列答案
相关题目

违法和不良信息举报电话:027-86699610 举报邮箱:58377363@163.com

精英家教网