题目内容

( 8分 ) 有机物E和F可用作塑料增塑剂或涂料中的溶剂。它们的相对分子质量相等,可用以下方法合成:

( 1 ) 请写出有机物的名称: A、_________ B _______________ 。
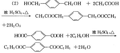
( 2 ) 请分别写出A + D E 和B + G  F 的化学方程式: __________________ 。
( 3 ) X反应的类型是 _____________ ,X反应的条件是 _____________ 。
( 4 ) E与F的相互关系是 _______ ( 选填下列选项的编号 ) 。
①同系物 ②同分异构体 ③同一种?物质? ④同一类物质

( 1 ) 对苯二甲醇 对苯二甲酸
?  
?   ( 3 ) 取代反应  光照    ( 4 ) ②④

解析

练习册系列答案
相关题目

违法和不良信息举报电话:027-86699610 举报邮箱:58377363@163.com

精英家教网