ÌâÄ¿ÄÚÈÝ

ËÉÓÍ´¼ÊÇÒ»ÖÖµ÷ÏãÏ㾫£¬ËüÊÇa£¬b£¬g ÈýÖÖͬ·ÖÒì¹¹Ìå×é³ÉµÄ»ìºÏÎ¿ÉÓÉËɽÚÓÍ·ÖÁó²úÆ·A£¨ÏÂʽÖеÄ18ÊÇÎªÇø·ÖÁ½¸öôÇ»ù¶øÈËΪ¼ÓÉÏÈ¥µÄ£©¾­ÏÂÁз´Ó¦ÖƵãº

ÊԻشð£º

£¨1£©a-ËÉÓÍ´¼µÄ·Ö×Óʽ___________________________________¡£

£¨2£©a-ËÉÓÍ´¼ËùÊôµÄÓлúÎïÀà±ðÊÇ___________¡££¨¶àÑ¡¿Û·Ö£©

A£®´¼¡¡¡¡¡¡¡¡¡¡¡¡¡¡¡¡¡¡¡¡¡¡¡¡¡¡¡¡¡¡¡¡¡¡¡¡  B£®·Ó¡¡¡¡¡¡¡¡¡¡¡¡¡¡¡¡¡¡¡¡¡¡¡¡¡¡¡¡¡¡¡¡¡¡¡¡   C£®±¥ºÍÒ»Ôª´¼

£¨3£©a-ËÉÓÍ´¼ÄÜ·¢ÉúµÄ·´Ó¦ÀàÐÍÊÇ___________¡££¨¶àÑ¡¿Û·Ö£©

A£®¼Ó³É¡¡¡¡¡¡¡¡¡¡¡¡¡¡¡¡¡¡¡¡¡¡¡¡¡¡¡¡¡¡¡¡   B£®Ë®½â¡¡¡¡¡¡¡¡¡¡¡¡¡¡¡¡¡¡¡¡¡¡¡¡¡¡¡¡¡¡¡¡   C£®Ñõ»¯

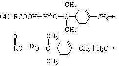
£¨4£©ÔÚÐí¶àÏãÁÏÖÐËÉÓÍ´¼»¹ÓÐÉÙÁ¿ÒÔõ¥µÄÐÎʽ³öÏÖ£¬Ð´³öRCOOHºÍa-ËÉÓÍ´¼·´Ó¦µÄ»¯Ñ§·½³Ìʽ________________________________________¡£

£¨5£©Ð´½á¹¹¼òʽ£ºb-ËÉÓÍ´¼_______________£¬g-ËÉÓÍ´¼_______________¡£

 

´ð°¸£º
½âÎö£º

£¨1£©C10H18 18O£¨2£©A£¨3£©AC

£¨1£©¸ù¾ÝÌâ¸øµÄa-ËÉÓÍ´¼µÄ½á¹¹¼òʽ¿Éд³ö·Ö×ÓʽΪC10H1818O£¬Ó¦×¢ÒâµÄÊÇÒª°ÑÍ¬Î»ËØ·ûºÅ±ê³ö¡£

£¨2£©´Óa-ËÉÓÍ´¼µÄ½á¹¹¼òʽ¿É¿´³ö·Ö×ÓÖк¬Óд¼ôÇ»ù£¬Òò´ËÊôÓÚ´¼Àà¡£

£¨3£©´Óa-ËÉÓÍ´¼µÄ½á¹¹¼òʽ¿ÉÖª£¬·Ö×ÓÖк¬ÓÐ̼̼˫¼ü£¬ÄÜÆð¼Ó³É·´Ó¦£¬Ò²ÄÜ·¢ÉúÑõ»¯·´Ó¦¡£

£¨4£©¸ù¾Ýõ¥»¯·´Ó¦µÄ¡°ôÈËáÍÑôÇ»ù´¼ÍÑÇâÔ­×Ó¡±µÄÒ»°ã¹æÂÉ£¬¼´¿É˳Àûд³öRCOOHºÍa-ËÉÓÍ´¼·´Ó¦µÄ»¯Ñ§·½³Ìʽ¡£

£¨5£©¸ù¾Ýb-ËÉÓÍ´¼º¬ÓÐÁ½¸ö¼×»ù¿Éд³ö½á¹¹¼òʽΪ£¬g-ËÉÓÍ´¼º¬ÓÐÈý¸ö¼×»ù£¬Æä·Ö×ӽṹ¼òʽΪ¡£

 


Á·Ï°²áϵÁдð°¸
Ïà¹ØÌâÄ¿

Î¥·¨ºÍ²»Á¼ÐÅÏ¢¾Ù±¨µç»°£º027-86699610 ¾Ù±¨ÓÊÏ䣺58377363@163.com

¾«Ó¢¼Ò½ÌÍø