题目内容

由m mol 与n mol NO组成的混合气,通入V mL 溶液中,可被完全吸收,得到的混合溶液,计算该溶液的物质的量浓度.指出m和n的互相关系.

答案:
解析:

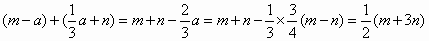
答案:设有a mol 溶液反应按反应①进行,生成和NO,则有以下关系:

a          

剩余的物质的量为:

NO的总量为:

上述两种气体按反应②跟溶液反应,全部生成溶液.据此,可以写出如下等式:

生成耗用的的物质的量为:

生成耗用的的物质的量为:

在V mL 溶液中含有的的物质的量为:

溶液的物质的量浓度为:

解析:、NO混合气跟溶液发生反应的化学方程式为:

    ①

     ②

若m=n时,按反应②进行,生成的产物是溶液,没有尾气产生;

若m<n时,按反应②进行,生成的产物是溶液,有NO尾气产生,其物质的量为(n-m)mol.

若m>n时,先按反应①进行,再按反应②进行,生成的产物是的混合溶液,没有尾气产生.

根据上述分析,在本题中m值肯定大于n值,反应的过程是:部分溶液按反应①生成和NO,当生成的与原混合气中NO的物质的量(n)之和,等于剩余部分的物质的量()时,即

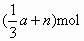
按反应②生成


练习册系列答案
相关题目

违法和不良信息举报电话:027-86699610 举报邮箱:58377363@163.com

精英家教网