题目内容

某有机物J(C19H20O4)不溶于水,毒性低,与聚氯乙烯、聚乙烯等树脂具有良好相溶性,是塑料工业的主要增塑剂,可以用下列方法合成:

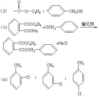
已知:

上述流程中:(Ⅰ)反应AB仅发生中和反应;(Ⅱ)F与浓溴水混合不产生白色沉淀。

1)指出反应类型:反应②________,反应④________

2)写出结构简式:Y________F________

3)写出B+EJ的化学方程式:________

4)写出E的属于芳香烃衍生物的同分异构体的结构简式:________________________

 

答案:
解析:

解析  (1)取代反应,酯化反应

 


练习册系列答案
相关题目

违法和不良信息举报电话:027-86699610 举报邮箱:58377363@163.com

精英家教网