题目内容

如下图所示,淀粉水解可产生某有机化合物A,A在不同的氧化剂作用下,可以生成B(C6H12O7)或C(C6H10O8),B和C都不能发生银镜反应.A、B、C都可以被强还原剂还原成为D(C6H14O6).B脱水可得到五元环的酯类化合物E或六元环的酯类化合物F.已知,相关物质被氧化的难易次序是:

RCHO最易,R-CH2OH次之,最难.

请在下列空格中填写A、B、C、D、E、F的结构简式.

A:________;B:________;C:________;

D:________;E:________;F:________.

答案:
解析:

  答案:A:CH2OH(CHOH)4CHO

  B:CH2OH(CHOH)4COOH

  C:HOOC-(CHOH)4-COOH

  D:HOCH2-(CHOH)4-CH2OH

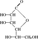
  E:

  F:

  思路解析:A是淀粉水解的产物,不难确定A是葡萄糖[CH2O-(CHOH)4-CHO];B是氧化-CHO为-COOH的缘故,则B为CH2OH(CHOH)4COOH,而C也是A氧化的产物,其分子式为C6H10O8,应是-CHO,-CH2OH均氧化为-COOH所致,则C为HOOC-(CHOH)4COOH;A、B、C均可还原为D,则D为HOCH2-(CHOH)4-CH2OH.依据B脱水生成五元环酯E或六元环酯F,可写出E、F的结构简式.


练习册系列答案
相关题目

违法和不良信息举报电话:027-86699610 举报邮箱:58377363@163.com

精英家教网