ÌâÄ¿ÄÚÈÝ

ËÉÓÍ´¼ÊÇÒ»ÖÖµ÷ÏãÏ㾫£¬ËüÊǦÁ¡¢¦Â¡¢¦ÃÈýÖÖͬ·ÖÒì¹¹Ìå×é³ÉµÄ»ìºÏÎ¿ÉÓÉËɽÚÓÍ·ÖÁó²úÆ·A(ÏÂʽÖеÄ18ÊÇÎªÇø·ÖÁ½¸öôÇ»ù¶øÈËΪ¼ÓÉÏÈ¥µÄ)¾­ÏÂÁз´Ó¦ÖƵãº

(1)¦Á¡ªËÉÓÍ´¼µÄ·Ö×Óʽ________£»

(2)¦Á¡ªËÉÓÍ´¼ËùÊôµÄÓлúÎïÀà±ðÊÇ________£»

A£®´¼

B£®·Ó

C£®±¥ºÍÒ»Ôª´¼

(3)¦Á¡ªËÉÓÍ´¼ÄÜ·¢ÉúµÄ·´Ó¦ÀàÐÍÊÇ________£»

A£®¼Ó³É

B£®È¡´ú

C£®ÏûÈ¥

D£®Cu´æÔÚϵÄÑõ»¯·´Ó¦

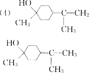
(4)д³ö½á¹¹¼òʽ£º

¦Â¡ªËÉÓÍ´¼________¦Ã¡ªËÉÓÍ´¼________£®

´ð°¸£º
½âÎö£º

(1)(2)A(3)ABC


Á·Ï°²áϵÁдð°¸
Ïà¹ØÌâÄ¿

Î¥·¨ºÍ²»Á¼ÐÅÏ¢¾Ù±¨µç»°£º027-86699610 ¾Ù±¨ÓÊÏ䣺58377363@163.com

¾«Ó¢¼Ò½ÌÍø