ÌâÄ¿ÄÚÈÝ
¹Ì¶¨ºÍÀûÓÃCO2ÄÜÓÐЧµØÀûÓÃ×ÊÔ´£¬²¢¼õÉÙ¿ÕÆøÖеÄÎÂÊÒÆøÌ壮CO2Ó뻯ºÏÎï¢ñ·´Ó¦Éú³É»¯ºÏÎï¢ò£¬Ó뻯ºÏÎï¢ó·´Ó¦Éú³É»¯ºÏÎï¢ô£¬Èç·´Ó¦¢ÙºÍ¢ÚËùʾ£¨ÆäËûÊÔ¼Á¡¢²úÎï¼°·´Ó¦Ìõ¼þ¾ùÊ¡ÂÔ£©£®

£¨1£©»¯ºÏÎï¢ñµÄ·Ö×ÓʽΪ______£¬1mol¸ÃÎïÖÊÍêȫȼÉÕÐèÏûºÄ______mol O2£®
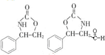
£¨2£©ÓÉ

ͨ¹ýÏûÈ¥·´Ó¦ÖƱ¸¢ñµÄ»¯Ñ§·½³ÌʽΪ______£¨×¢Ã÷·´Ó¦Ìõ¼þ£©£®
£¨3£©¢òÓë¹ýÁ¿C2H5OHÔÚËá´ß»¯Ï·¢Éúõ¥»¯·´Ó¦£¬Éú³ÉµÄÓлúÎïµÄ½á¹¹¼òʽΪ______£®
£¨4£©ÔÚÒ»¶¨Ìõ¼þÏ£¬»¯ºÏÎïVÄÜÓëCO2·¢ÉúÀàËÆ·´Ó¦¢ÚµÄ·´Ó¦£¬Éú³ÉÁ½ÖÖ»¯ºÏÎ»¥ÎªÍ¬·ÖÒì¹¹Ì壩£¬Çëд³öÆäÖÐÈÎÒâÒ»ÖÖ»¯ºÏÎïµÄ½á¹¹¼òʽ£º______£®
£¨5£©ÓëCO2ÀàËÆ£¬COÒ²Äܱ»¹Ì¶¨ºÍÀûÓã®ÔÚÒ»¶¨Ìõ¼þÏ£¬CO¡¢

ºÍH2ÈýÕß·¢Éú·´Ó¦£¨±½»·²»²ÎÓë·´Ó¦£©£¬Éú³É»¯ºÏÎï¢öºÍ¢÷£¬Æä·Ö×Óʽ¾ùΪC9H8O£¬ÇÒ¶¼ÄÜ·¢ÉúÒø¾µ·´Ó¦£®ÏÂÁйØÓÚ¢öºÍ¢÷µÄ˵·¨ÕýÈ·µÄÓÐ______£¨Ë«Ñ¡£¬Ìî×Öĸ£©£®
A£®¶¼ÊôÓÚ·¼ÏãÌþÑÜÉúÎï B£®¶¼ÄÜʹäåµÄËÄÂÈ»¯Ì¼ÈÜÒºÍÊÉ«
C£®¶¼ÄÜÓëNa·´Ó¦·Å³öH2 D£® 1mol¢ö»ò¢÷×î¶àÄÜÓë4mol H2·¢Éú¼Ó³É·´Ó¦£®
£¨1£©»¯ºÏÎï¢ñµÄ·Ö×ÓʽΪ______£¬1mol¸ÃÎïÖÊÍêȫȼÉÕÐèÏûºÄ______mol O2£®
£¨2£©ÓÉ
ͨ¹ýÏûÈ¥·´Ó¦ÖƱ¸¢ñµÄ»¯Ñ§·½³ÌʽΪ______£¨×¢Ã÷·´Ó¦Ìõ¼þ£©£®
£¨3£©¢òÓë¹ýÁ¿C2H5OHÔÚËá´ß»¯Ï·¢Éúõ¥»¯·´Ó¦£¬Éú³ÉµÄÓлúÎïµÄ½á¹¹¼òʽΪ______£®
£¨4£©ÔÚÒ»¶¨Ìõ¼þÏ£¬»¯ºÏÎïVÄÜÓëCO2·¢ÉúÀàËÆ·´Ó¦¢ÚµÄ·´Ó¦£¬Éú³ÉÁ½ÖÖ»¯ºÏÎ»¥ÎªÍ¬·ÖÒì¹¹Ì壩£¬Çëд³öÆäÖÐÈÎÒâÒ»ÖÖ»¯ºÏÎïµÄ½á¹¹¼òʽ£º______£®
£¨5£©ÓëCO2ÀàËÆ£¬COÒ²Äܱ»¹Ì¶¨ºÍÀûÓã®ÔÚÒ»¶¨Ìõ¼þÏ£¬CO¡¢
ºÍH2ÈýÕß·¢Éú·´Ó¦£¨±½»·²»²ÎÓë·´Ó¦£©£¬Éú³É»¯ºÏÎï¢öºÍ¢÷£¬Æä·Ö×Óʽ¾ùΪC9H8O£¬ÇÒ¶¼ÄÜ·¢ÉúÒø¾µ·´Ó¦£®ÏÂÁйØÓÚ¢öºÍ¢÷µÄ˵·¨ÕýÈ·µÄÓÐ______£¨Ë«Ñ¡£¬Ìî×Öĸ£©£®
A£®¶¼ÊôÓÚ·¼ÏãÌþÑÜÉúÎï B£®¶¼ÄÜʹäåµÄËÄÂÈ»¯Ì¼ÈÜÒºÍÊÉ«
C£®¶¼ÄÜÓëNa·´Ó¦·Å³öH2 D£® 1mol¢ö»ò¢÷×î¶àÄÜÓë4mol H2·¢Éú¼Ó³É·´Ó¦£®
£¨1£©ÓÉÓлúÎï¢ñµÄ½á¹¹¼òʽ¿ÉÒÔд³öÆä·Ö×ÓʽΪ£ºC8H8£¬¸ù¾ÝÌþCxHyºÄÑõÁ¿Îªx+y/4£¬ÔòºÄÑõÁ¿Îª10mol£¬¹Ê´ð°¸Îª£ºC8H8£»10£»
£¨2£©Â±´úÌþ

ÄÜͨ¹ýÏûÈ¥·´Ó¦£¬ÏûȥС·Ö×ÓÂÈ»¯Ç⣬·½³ÌʽΪ£º

£»¹Ê´ð°¸Îª£º

£»
£¨3£©1mol¢òÖк¬ÓÐ2molôÈ»ù£¬Óë2molC2H5OHÔÚËá´ß»¯Ï·¢Éúõ¥»¯·´Ó¦£¬µÃµ½¶ÔÓ¦µÄõ¥£¬¹Ê´ð°¸Îª£º

£»
£¨4£©»¯ºÏÎïVÄÜÓëCO2·¢ÉúÀàËÆ·´Ó¦¢ÚµÄ·´Ó¦£¬¼´ÔÀíÊÇ£ºO=C=OÖеÄÒ»¸ö̼Ñõ¼ü¶Ï¿ª£¬ÓлúÎï¶Ï¿ªÌ¼Ñõ¼ü¼Ó³É£¬ÓÐÁ½Öּӳɷ½Ê½£¬¹Ê´ð°¸Îª£º

£¨ÈÎдһÖÖ£©£»
£¨5£©

µÄ·Ö×ÓʽΪC8H6£¬±ÈC9H8OÉÙÒ»¸öCH2O£¬²¢ÇÒ¾ùÄÜ·¢ÉúÒø¾µ·´Ó¦£¬¹ÊÉú³ÉµÄ»¯ºÏÎï¢öºÍ¢÷ÖÐÓÐÈ©»ùºÍË«¼ü£¬½á¹¹¼òʽ·Ö±ðΪ£º

£¬A¡¢BÕýÈ·£¬1mol»¯ºÏÎï¢ö»ò¢÷ÄܺÍÇâÆø¼Ó³É£¬±½»·ÖÐ3mol£¬È©»ùºÍË«¼ü¸÷1mol£¬×î¶àÏûºÄÇâÆø5mol£¬¹ÊD´íÎó£¬ÓлúÎïÖÐûÓкÍÄÆ·´Ó¦µÄ¹ÙÄÜÍÅ£¬¹ÊC´íÎ󣬹ʴð°¸Îª£ºAB£®
£¨2£©Â±´úÌþ
ÄÜͨ¹ýÏûÈ¥·´Ó¦£¬ÏûȥС·Ö×ÓÂÈ»¯Ç⣬·½³ÌʽΪ£º
£»¹Ê´ð°¸Îª£º
£»
£¨3£©1mol¢òÖк¬ÓÐ2molôÈ»ù£¬Óë2molC2H5OHÔÚËá´ß»¯Ï·¢Éúõ¥»¯·´Ó¦£¬µÃµ½¶ÔÓ¦µÄõ¥£¬¹Ê´ð°¸Îª£º
£»
£¨4£©»¯ºÏÎïVÄÜÓëCO2·¢ÉúÀàËÆ·´Ó¦¢ÚµÄ·´Ó¦£¬¼´ÔÀíÊÇ£ºO=C=OÖеÄÒ»¸ö̼Ñõ¼ü¶Ï¿ª£¬ÓлúÎï¶Ï¿ªÌ¼Ñõ¼ü¼Ó³É£¬ÓÐÁ½Öּӳɷ½Ê½£¬¹Ê´ð°¸Îª£º
£¨ÈÎдһÖÖ£©£»
£¨5£©
µÄ·Ö×ÓʽΪC8H6£¬±ÈC9H8OÉÙÒ»¸öCH2O£¬²¢ÇÒ¾ùÄÜ·¢ÉúÒø¾µ·´Ó¦£¬¹ÊÉú³ÉµÄ»¯ºÏÎï¢öºÍ¢÷ÖÐÓÐÈ©»ùºÍË«¼ü£¬½á¹¹¼òʽ·Ö±ðΪ£º
£¬A¡¢BÕýÈ·£¬1mol»¯ºÏÎï¢ö»ò¢÷ÄܺÍÇâÆø¼Ó³É£¬±½»·ÖÐ3mol£¬È©»ùºÍË«¼ü¸÷1mol£¬×î¶àÏûºÄÇâÆø5mol£¬¹ÊD´íÎó£¬ÓлúÎïÖÐûÓкÍÄÆ·´Ó¦µÄ¹ÙÄÜÍÅ£¬¹ÊC´íÎ󣬹ʴð°¸Îª£ºAB£®
Á·Ï°²áϵÁдð°¸
Ïà¹ØÌâÄ¿