题目内容

F是新型降压药替米沙坦的中间体,可由下列路线合成:

(1)反应类型:D→E:________,E→F:________.

(2)写出满足下列条件的B的所有同分异构体________(写结构简式).

①含有苯环

②含有酯基

③能与新制Cu(OH)2反应

(3)C中含有的官能团名称是________.已知固体C在加热条件下可溶于甲醇,下列C→D的有关说法正确的是________.

a、D的化学式为C9H9NO4

b、浓硫酸的吸水性可能会导致溶液变黑

c、甲醇既是反应物,又是溶剂

(4)E的同分异构苯丙氨酸经缩聚反应形成的高聚物是________(写结构简式).

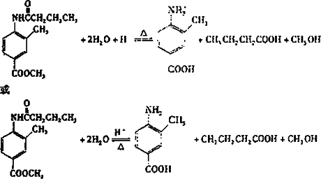
(5)F在强酸和长时间加热条件下发生水解反应的化学方程式是________.

答案:
解析:

  (1)还原反应;取代反应

  (2)

  (3)硝基、羧基;a、c

  (4)

  (5)


练习册系列答案
相关题目

违法和不良信息举报电话:027-86699610 举报邮箱:58377363@163.com

精英家教网