题目内容

已知晶体结构为型,实验测得最邻近的距离为,假定都是刚性球,试回答下列问题:

(1)欲计算得到的近似半径,你还需作何假设?

(2)计算的近似半径.

(3)若用另一方法测得的半径为,试验证你的假设是否正确.

答案:
解析:

(1)除假设是刚性球外,还需再假定两刚性球间彼此相切,这样可将的距离看成是两个离子半径之和.

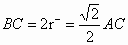
(2)根据的晶体结构即可建立起图示“数学模型”.设图中大圆表示,半径为,小圆为,半径为,则可得如下关系:,解得,又知:可求出

(3)假设离子间并非接触,则有,因

;即满足,所以假设成立.


练习册系列答案
相关题目

违法和不良信息举报电话:027-86699610 举报邮箱:58377363@163.com

精英家教网