题目内容
以下结构简式表示一种有机物的结构,关于其性质的叙述不正确的是( )
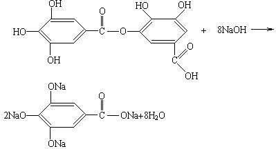
![]()
A.它有酸性,能与纯碱溶液反应
B.可以水解,其水解产物只有一种
C.1 mol该有机物最多能与7 mol NaOH反应
D.该有机物能发生取代反应
答案:C
解析:
解析:
解析:根据结构中含—COOH,且CH3COOH酸性>H2CO3,推断能与Na2CO3溶液反应,故A正确;结构中含
可知1mol该有机物最多能与8mol NaOH反应,故C错误;该有机物除发生水解反应外,还可以发生酯化反应(因为含—COOH),而这2种反应均看作是取代反应,故D也是正确的。
|
练习册系列答案
相关题目
以下结构简式表示一种有机物的结构,关于其性质的叙述不正确的是![]()
| A.它有酸性,能与纯碱溶液反应 | B.可以水解,其水解产物只有一种 |
| C.1 mol该有机物最多能与7 mol NaOH反应 | D.该有机物能发生取代反应 |