题目内容
有机物CH3O—C6H4—CHO有多种同分异构体,其中属于酯类,结构中含苯环的有( )
A.3种 B.4种
C.5种 D.6种
答案:D
解析:
解析:
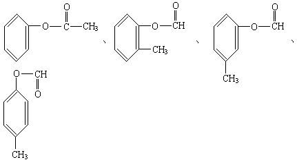
解析:属于酯类的异构体结构简式如下:化学式均为C8H8O2
|
练习册系列答案
相关题目
题目内容
有机物CH3O—C6H4—CHO有多种同分异构体,其中属于酯类,结构中含苯环的有( )
A.3种 B.4种
C.5种 D.6种
解析:属于酯类的异构体结构简式如下:化学式均为C8H8O2
|