题目内容

奶油中有一种只含C、H、O的化合物A.A可用作香料,其相对分子质量为88,分子中C、H、O原子个数比为2∶4∶1.

(1)A的分子式为________.

(2)写出与A分子式相同的所有酯的结构简式:________.

已知:①ROH+HBr(氢溴酸)RBr+H2O

A中含有碳氧双键,与A相关的反应如下:

(3)写出AE、EF的反应类型:AE________、EF________.

(4)写出A、C、F的结构简式:A________、C________、F________.

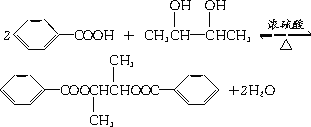
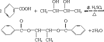
(5)写出BD反应的化学方程式:________.

(6)在空气中长时间搅拌奶油,A可转化为相对分子质量为86的化合物G,G的一氯代物只有一种,写出G的结构简式:________.AG的反应类型为________.

答案:
解析:

  答案:

  (1)C4H8O2

  (2)CH3CH2COOCH3 CH3COOCH2CH3 HCOOCH(CH3)2 HCOOCH2CH2CH3

  (3)取代反应 消去反应

  (4) CH3CHO 

  (5)

  (6) 氧化反应

  解析:本题以日常生活中常见物质奶油为依托,综合考查有机化合物的组成、结构与性质的具体应用.

  (1)设化合物A的分子式为(C2H4O)n,则44n=88,所以A的分子式为C4H8O2

  (2)分子式为C4H8O2的酯有以下几种:

  (3)由题目所给信息①可知A→E的反应为取代反应,E为卤代烃,A分子中含有羟基,又由E→F的反应条件知E→F的反应类型为消去反应.

  (4)由知B中不含结构,又由知B中含有结构,所以B的结构简式为,A为,E为,F为,C为CH3CHO.

  (5)由于B中含有2个羟基,B与足量反应的方程式为

  

  (6)比较A与G的相对分子质量可知,A的反应为去氢的氧化反应,G的结构简式为


练习册系列答案
相关题目

违法和不良信息举报电话:027-86699610 举报邮箱:58377363@163.com

精英家教网