题目内容

将pH=10与pH=12的两种氢氧化钠溶液等体积混合时,pH是多少?

答案:
解析:

  答案:11.7

  解析:因为c(H+)c(OH)=10-14

  所以pH=10,c(H+)=10-10 mol·L-1;则c(OH)=10-4 mol·L-1;pH=12,c(H+)=10-12 mol·L-1,则c(OH)=10-2mol·L-1

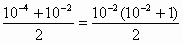
  所以两种溶液等体积混合后,其c(OH)为:

  c(OH)==5.05×10-3 mol·L-1

  故pOH=-lgc(OH)=-lg5.05×10-3=3-0.7=2.3,

  因为pH+pOH=14,

  所以pH=14-pOH=14-2.3=11.7.


练习册系列答案
相关题目

违法和不良信息举报电话:027-86699610 举报邮箱:58377363@163.com

精英家教网