题目内容
图所示的是元素周期表中一种元素的部分信息,据此回答下列问题:
(1)该元素的名称是__________,它位于元素周期表的第________周期、第_________族.
(2)该元素有
和
两种天然稳定的同位素,
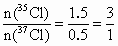
和
的物质的量之比为___________.
答案:略
解析:
解析:
|
(1) 氯;3;ⅦA(2) 3∶1
|
练习册系列答案
相关题目
| A、Y点元素对应的氢化物比Z点元素对应的氢化物更稳定 | B、虚线相连的两个点元素处于同一族 | C、比Y点原子序数小8的元素,它的最高氧化物对应的水化物是一种弱酸 | D、K、L、X三种元素的离子半径大小顺序是X3+>L+>K2- |
| A、L、M、X三元素位于同一族 | B、K、Z两元素的氢化物的水溶液都显酸性 | C、Y元素对应的氢化物比K元素对应的氢化物沸点低 | D、K、L、X、Z四种元素离子半径大小顺序是Z->L+>X3+>K3- |