ÌâÄ¿ÄÚÈÝ

ÓÃÒ»Ñõ»¯Ì¼ºÍÇâÆøÔÚ443K¡«473KζÈÏ£¬²¢ÓÃîÜ(Co)×÷´ß»¯¼Áʱ£¬¿ÉÒÔ·´Ó¦Éú³Én£½5¡«8µÄÍéÌþ£¬ÕâÊÇÈ˹¤ºÏ³ÉÆûÓ͵ķ½·¨Ö®Ò»£®

(1)

д³öÓÃCnH2n£«2±íʾµÄÈ˹¤ºÏ³ÉÆûÓ͵ÄÅ䯽µÄ»¯Ñ§·½³Ìʽ£º________

(2)

Èç¹ûÏòÃܱյĺϳÉËþÀïͨÈëÇ¡ºÃÄÜÍêÈ«·´Ó¦µÄCOºÍH2£¬µ±ÍêÈ«·´Ó¦ºó£¬ºÏ³ÉËþÄÚζȲ»±ä£¬¶øËþÄÚÆøÌåѹǿ½µµÍµ½Ô­À´µÄ£®Í¨¹ý¼ÆËã˵Ã÷ÕâʱÓÐÎÞÆûÓÍÉú³É£®

(3)

Òª´ïµ½ÉÏÊöºÏ³ÉÆûÓ͵ÄÒªÇó£¬COºÍH2µÄÌå»ý±ÈµÄȡֵ·¶Î§ÊǶàÉÙ£¿

´ð°¸£º
½âÎö£º

(1)

(2)

£¬n£½3£¬C3H8£¬¶øÆûÓÍÊÇn£½5¡«8µÄÍéÌþ£¬Òò´ËÎÞÆûÓÍÉú³É

(3)

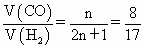
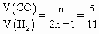
¡¡¡¡µ±n£½5ʱ£¬

¡¡¡¡µ±n£½8ʱ£¬

¡¡¡¡ÔòÒª´ïÉÏÊöÆûÓÍÒªÇ󣬯äȡֵ·¶Î§Îª


Á·Ï°²áϵÁдð°¸
Ïà¹ØÌâÄ¿

(15·Ö)

ÎÒ¹úÓзḻµÄÌìÈ»Æø×ÊÔ´¡£ÒÔÌìÈ»ÆøÎªÔ­ÁϺϳÉÄòËØµÄÖ÷Òª²½ÖèÈçÏÂͼËùʾ£¨Í¼ÖÐij

Щת»¯²½Öè¼°Éú³ÉÎïδÁгö£©£º

ÇëÌîдÏÂÁпհףº

   £¨1£©ÒÑÖª0.5 mol¼×ÍéºÍ0.5 molË®ÕôÆøÔÚt ¡æ£¬p k Paʱ£¬ÍêÈ«·´Ó¦Éú³ÉÒ»Ñõ»¯Ì¼ºÍÇâÆø£¨ºÏ³ÉÆø£©£¬ÎüÊÕÁËa kJÈÈÁ¿¡£¸Ã·´Ó¦µÄÈÈ»¯Ñ§·½³ÌʽÊÇ£º      ______¡£

   £¨2£©ÉÏÊöÁ÷³ÌÖУ¬¹¤ÒµÉÏ·ÖÀëH2 ¡¢CO2ºÏÀíµÄ·½·¨ÊÇ___________¡£

A.»ìºÏÆøÏÈͨÈëÇâÑõ»¯ÄÆÈÜÒº£¬ÔÙÔÚÈÜÒºÖмÓÑÎËá

B.»ìºÏÆø¼ÓѹÀäÈ´£¬Ê¹CO2Òº»¯

C.»ìºÏÆøÓð±Ë®Ï´µÓ

D.»ìºÏÆøÏÈͨÈ뵽ʯ»Ò½¬£¬È»ºó¸ßÎÂìÑÉÕ¹ÌÌ壬

   £¨3£©ÎªÁ˱£Ö¤°±ÆøË³ÀûºÏ³É£¬ÔÚ¿ÕÆø½øÈëºÏ³ÉËþ֮ǰ±ØÐë¶Ô¿ÕÆø½øÐÐ___________,Ä¿µÄÊÇ________________________________________£»Ôںϳɰ±µÄʵ¼ÊÉú²ú¹ý³ÌÖУ¬³£²ÉÈ¡½«Éú³ÉµÄ°±´Ó»ìºÏÆøÌåÖзÖÀë³öÀ´£¬·ÖÀë³ö°±µÄ·½·¨£º          ¡£

   £¨4£©ºÏÀíµØÀûÓÃ×ÊÔ´²»½ö¿ÉÒÔÌá¸ß¾­¼ÃÐ§Òæ£¬¶øÇÒÒ²ÊǶÔÉç»á¡¢¶ÔÈ«ÈËÀฺÔðµÄ±íÏÖ£¬ÇëÓÃÏ߶κͼýÍ·»­³öͼÖеÄÁ½´¦ºÏÀíÀûÓÃ×ÊÔ´Çé¿ö¡£

 

Î¥·¨ºÍ²»Á¼ÐÅÏ¢¾Ù±¨µç»°£º027-86699610 ¾Ù±¨ÓÊÏ䣺58377363@163.com

¾«Ó¢¼Ò½ÌÍø