题目内容

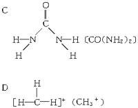
  下列结构图中,●代表核外电子数从110的元素的原子实(原子实是原子除去最外层电子后剩余的部分),小黑点代表未用于形成共价键的最外层电子,短线代表价键,依据图示的结构特点,写出相应分子的化学式:

  

  

  A____________________ B____________________

  C____________________ D____________________

 

答案:
解析:

解析:●表示除去最外层电子后剩余的原子实,又代表1~10号元素,故解本题的突破口是靠最外层电子数目找出●表示的各元素.

  所以A为H—O—H (H2O)

  所以B为H—C≡N (HCN).

  按照A、B的分析思路不难判断出C、D分别为

  

答案:H2O HCN CO(NH2)2 CH3

 


练习册系列答案
相关题目

违法和不良信息举报电话:027-86699610 举报邮箱:58377363@163.com

精英家教网