题目内容
等物质的量浓度的稀盐酸和稀硫酸各100mL,分别加入等质量的铁粉,反应完成后,生成氢气的质量比为3∶4。若将硫酸反应后的溶液稀释至200mL,测得硫酸的浓度为0.05mol/L,计算盐酸的物质的量浓度。
答案:
解析:
提示:
解析:
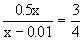
设盐酸中HCl物质的量为x,那么硫酸中H2SO4的物质的量也是x,反应后H2SO4剩余0.05mol/L×0.2L=0.01mol
x=0.03mol 即盐酸的物质的量浓度为0.03mol/L 盐酸的物质的量浓度为0.03mol/L
|
提示:
如果加入铁粉对两种酸来说都是足量的,则应以酸为标准来求生成H2的量,那么生成氢气质量应为1∶2;本题为什么生成氢气质量比是3∶4呢?可以判断出,加入铁粉质量对盐酸来说是铁粉过量,而对硫酸来说,是铁粉不足。
|
练习册系列答案
相关题目