题目内容

某有机物A含碳54.8%,H5.58%,N7.11%,其余为氧,且A的相对分子质量不超过300.又知A是一种a-氨基酸,分子结构中不存在甲基,能与FeCl3溶液发生显色反应,1mol A最多能与3mol NaOH完全反应.试回答下列问题:

(1)有机物A的相对分子质量为________,其分子式为________________

(2)符合上述条件的有机物A的可能结构有________(填数字)种,写出其中任意一种的结构简式________________

 

答案:
解析:

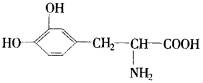
(1)197,C9H11NO4

(2)6,

解析:有机物A中C、H、O、N的原子个数比为:

A的最简式为C9H11NO4,最简式相对分子质量为197,因A的式量不超过300,所以A的分子式为C9H11NO4

(2)A为a-氨基酸,含有,式量为74,依1mol A最多能与3mol NO2OH完全反应,可知A分子结构中还含有2个酚羟基,即含有(羟基位置可变),式量为109.197-74-109=14.还差一个CH2.故A的结构可能为(不含—CH3):

(只有羟基在苯环上的位置可变化)共6种情况.

引申:(2)解析方法常称“基团组装法”,该法通常是用已知物质的分子式,减去该物质中已知官能团(基团)的化学式,再去考虑剩余基团结构,从而确定整个物质的结构

 


练习册系列答案
相关题目

(15分)
(1)(5分)某有机物A由C、H、O三种元素组成,90克A完全燃烧可生成132克CO2和54克H2O。
试求:
①该有机物的最简式                  
②若符合该最简式的A物质可能不止一种,则它们之间的关系        (填序号)
A.一定互为同系物                      B.一定互为同分异构体
C.等质量的它们完全燃烧耗氧量相同      D.等物质的量的它们完全燃烧耗氧量相同
③若A的相对分子质量为180,每个碳原子上最多只有一个官能团,能发生银镜反应,也能发
生酯化反应,且所有碳原子在同一链上,则A的结构简式为                        
(2)(10分)有机物A(C10H20O2)具有兰花香味,可用作香皂、洗发香波的芳香赋予剂。
已知:

ⅰ.B分子中没有支链。
ⅱ.D能与碳酸氢钠溶液反应放出二氧化碳。ⅲ.D、E互为具有相同官能团的同分异构体。E
分子烃基上的氢若被Cl取代,其一氯代物只有一种。ⅳ.F可以使溴的四氯化碳溶液褪色。
① B可以发生的反应有          (选填序号)。
a.取代反应           b.消去反应          c.加聚反应          d.氧化反应
② D、F分子所含的官能团的名称依次是                            
③写出与D、E具有相同官能团的一种同分异构体的结构简式__________________。
④写出B和E反应生成A的化学方程式是:                                    
⑤写出C与银氨溶液反应的化学方程式:                                      

(15分)

(1)(5分)某有机物A由C、H、O三种元素组成,90克A完全燃烧可生成132克CO2和54克H2O。

试求:

① 该有机物的最简式                  

② 若符合该最简式的A物质可能不止一种,则它们之间的关系         (填序号)

A.一定互为同系物                      B.一定互为同分异构体

C.等质量的它们完全燃烧耗氧量相同      D.等物质的量的它们完全燃烧耗氧量相同

③ 若A的相对分子质量为180,每个碳原子上最多只有一个官能团,能发生银镜反应,也能发

生酯化反应,且所有碳原子在同一链上,则A的结构简式为                        

(2)(10分)有机物A(C10H20O2)具有兰花香味,可用作香皂、洗发香波的芳香赋予剂。

已知:

ⅰ.B分子中没有支链。

ⅱ.D能与碳酸氢钠溶液反应放出二氧化碳。ⅲ.D、E互为具有相同官能团的同分异构体。E

分子烃基上的氢若被Cl取代,其一氯代物只有一种。ⅳ.F可以使溴的四氯化碳溶液褪色。

① B可以发生的反应有           (选填序号)。

a.取代反应            b.消去反应          c.加聚反应          d.氧化反应

② D、F分子所含的官能团的名称依次是                             

③ 写出与D、E具有相同官能团的一种同分异构体的结构简式__________________。

④ 写出B和E反应生成A的化学方程式是:                                    

⑤ 写出C与银氨溶液反应的化学方程式:                                       

 

违法和不良信息举报电话:027-86699610 举报邮箱:58377363@163.com

精英家教网