题目内容

有一系列α-氨基酸按如下特点排列:

该系列化合物中所含碳元素的质量分数的最大值为

[  ]

A.

78.2%

B.

46.6%

C.

85.7%

D.

无法确定

答案:C
解析:

  将题给结构式写成化学式:C2H5NO2、C3H7NO2、C4H9NO2,由以上化学式发现碳原子2,3,4……为等差数列,公差为1;氢原子5,7,9……也为等差数列,公差为2.由等差数列的通项公式:

  ana1+(n-1)d可得:

  an(C)=2+(n-1)×1=n+1

  an(H)=5+(n-1)×2=2n+3

  由此可得该系列α-氨基酸的通式:Cn+1H2n+3NO2

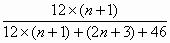
  分子中所含碳元素的质量分数:

  w(C)=×100%

  =×100%=×100%

  该系列化合物中所含碳元素的质量分数的最大值可用极限求得:

  ×100%=×100%=85.7%


练习册系列答案
相关题目

违法和不良信息举报电话:027-86699610 举报邮箱:58377363@163.com

精英家教网