题目内容
四川盛产五倍子.以五倍子为原料可制得化合物A.A的结构简式如图所示:
(1)
A的分子式是________.
(2)
有机化合物B在硫酸催化条件下加热发生酯化反应可得到A.请与出B的结构简式:________.
(3)
请写出A与过量NaOH溶液反应的化学方程式:________.
(4)
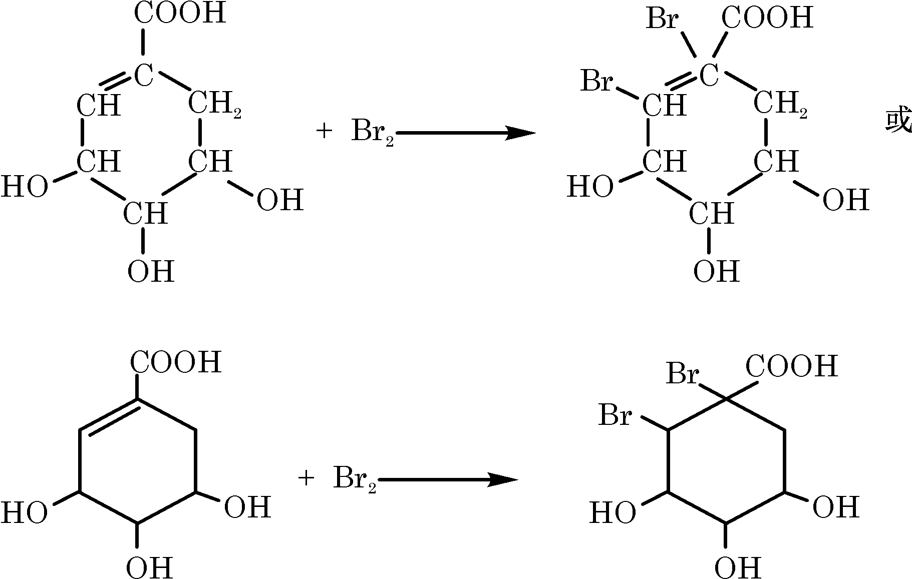
有机化合物C是合成治疗禽流感药物的原料之一.C可以看成是B与氢气按物质的量之比1∶2发生加成反应得到的产物.C分子中无羟基与碳碳双键直接相连的结构,它能与溴水反应使溴水褪色.请写出C与溴水反应的化学方程式:________.
C14H30O9
四川盛产五倍子。以五倍子为原料可制得化合物A。A的结构简式如图所示:
请解答下列各题:
(1)A的分子式是 。
(2)有机化合物B在硫酸催化条件下加热发生酯化反应可得到A。
请写出B的结构简式:
(3)请写出A与过量NaOH溶液反应的化学方程式:
(4)有机化合物C是合成治疗禽流感药物的原料之一。C可以看成是B与氢气按物质的量之比1∶2发生加成反应得到的产物。C分子中无羟基与碳碳双键直接相连的结构,它能与溴水反应使溴水褪色。
请写出C与溴水反应的化学方程式:
四川盛产五倍子。以五倍子为原料可制得化合物A。A的结构简式如下图所示。
(2)有机化合物B在硫酸催化条件下加热发生酯化反应可得到A。请写出B的结构简式。
(3)请写出A与过量NaOH溶液反应的化学方程式。
(4)有机化合物C是合成治疗禽流感药物的原料之一。C可以看成是B与氢气按物质的量之比1∶2发生加成反应得到的产物。C分子中无羟基与碳碳双键直接相连的结构,它能与溴水反应使溴水褪色。请写出C与溴水反应的化学方程式。
(12分)四川盛产五倍子。以五倍子为原料可以制得化合物A。A的结构简式如下图所示:请回答下列问题:(1)A中有哪些官能团(写出名称)___ ______。 (2)有机物B在硫酸催化条件下加热发生酯化反应可得到A。请写出B的结构简式___ ___。(3)1molA最多能消耗 molNaOH;请写出A与过量的NaOH溶液反应的化学方程式____ __ ___。(4)有机化合物C是合成治疗禽流感药物的原料之一。C可以看做是B与氢气按物质的量之比1:2发生加成反应得到的产物。C分子中无羟基与碳碳双键直接相连的结构,它能使溴水褪色。请写出C与溴水反应的化学方程式___ ______。
(12分)四川盛产五倍子。以五倍子为原料可以制得化合物A。A的结构简式如下图所示:
请回答下列问题:
(1)A中有哪些官能团(写出名称)___ ______。
(2)有机物B在硫酸催化条件下加热发生酯化反应可得到A。请写出B的结构简式___ ___。
(3)1molA最多能消耗 molNaOH;请写出A与过量的NaOH溶液反应的化学方程式____ __ ___。
(4)有机化合物C是合成治疗禽流感药物的原料之一。C可以看做是B与氢气按物质的量之比1:2发生加成反应得到的产物。C分子中无羟基与碳碳双键直接相连的结构,它能使溴水褪色。请写出C与溴水反应的化学方程式___ ______。