题目内容

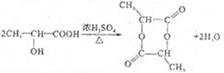
(14分)化合物A最早发现于酸牛奶中,它是人体内糖代谢的中间体,可由马铃薯、玉米淀粉等发酵制得,A的钙盐是人民喜爱的补钙剂之一。A在某种催化剂的存在下进行氧化,其产物不能发生银镜反应。在浓硫酸存在下,A可发生如下图所示的反应。

试写出:

(1)化合物的结构简式:A               B               C.            

(2)化学方程式:

A→E                                              

A→F                                              

(3)反应类型

A→E                 , A→F                     .

 

【答案】

(1)

(2)

(3)消去反应  酯化反应

【解析】

 

练习册系列答案
相关题目

I.科研人员发现,一些化学反应在固体之间发生和在水溶液中发生,产物不同。铜合金是人类使用最早的金属材料,铜在化合物中的常见化合价有+1、+2。将CuCl2·2H2O晶体和NaOH固体混合研磨,生成物中有一黑色的固体M。M不溶于水,但可溶于稀硫酸生成蓝色溶液B。

M的化学式为           ;M不同于CuCl2和NaOH在溶液中反应所得产物的可能原因是

                             

II.A+B→X+Y+H2O(未配平,反应条件略去)是中学常见反应的化学方程式,其中A、B的物质的量之比为1:4。请回答:

   (1)若Y是黄绿色气体,则Y的电子式是         ,该反应的化学方程式是:            

   (2)若A为金属单质,常温下A在B的浓溶液中“钝化”,且A可溶于X溶液中

①A元素在周期表中的位置是        (填所在周期和族);Y的化学式是         

②含a mol X的溶液溶解了一定量A后,若溶液中两种金属阳离子的物质的量恰好相等,则被还原的X是____mol。

  (3)若A、B、X、Y均为化合物。A溶于水电离出的阳离子和水作用的生成物可净化水,向A溶液中加入硝酸酸化的AgNO33溶液,产生白色沉淀;B的焰色为黄色。则A与B按物质的量之比1:4恰好反应后,溶液中离子浓度从大到小的顺序是                   

 

麻醉剂的发现和使用,是人类医疗史上了不起的一项成就,它可使患者在接受治疗时感觉不到疼痛。

(1)“笑气”(N2O)是人类最早应用于医疗的麻醉剂之一。有关理论认为。N2O与CO2分子具有相似的结构(包括电子式);已知N2O分子中氧原子只与一个氮原子相连,则N2O的电子式可表示为__________,其空间构型是__________型,由此可知它是__________分子(填“极性”或“非极性”)。

(2)另一种常用麻醉剂氯仿,常因保存不慎而被氧化,产生剧毒物光气(COCl2):2CHCl3+O2 2HCl+2COCl2。为防止事故,使用前可用于检验氯仿是否变质的试剂是___________。

A.淀粉碘化钾溶液                       B.NaOH溶液

C.酚酞试液                                D.硝酸酸化的硝酸银溶液

(3)作为麻醉剂,氙气在医学上很受重视。氙能溶于细胞质的油脂里,引起细胞的麻醉和膨胀,从而使神经末梢作用暂时停止。人们曾试用体积分数为80%,氙气和20%氧气组成的混合气体,作为无副作用的麻醉剂。

    氙在元素周期表中位于_________周期,__________族,它的原子序数为____________。

    作为稀有气体(或称惰性气体),氙的化学性质不活泼,但它的确可在一定条件下生成化合物。现取1 mol氙气和3.5 mol氟气于密闭容器中,后来余下了1.5 mol氟气同时有白色固体形成,此白色固体的化学式为________________。

I.科研人员发现,一些化学反应在固体之间发生和在水溶液中发生,产物不同。铜合金是人类使用最早的金属材料,铜在化合物中的常见化合价有+1、+2。将CuCl2·2H2O晶体和NaOH固体混合研磨,生成物中有一黑色的固体M。M不溶于水,但可溶于稀硫酸生成蓝色溶液B。

M的化学式为           ;M不同于CuCl2和NaOH在溶液中反应所得产物的可能原因是

                             

II.A+B→X+Y+H2O(未配平,反应条件略去)是中学常见反应的化学方程式,其中A、B的物质的量之比为1:4。请回答:

   (1)若Y是黄绿色气体,则Y的电子式是         ,该反应的化学方程式是:            

   (2)若A为金属单质,常温下A在B的浓溶液中“钝化”,且A可溶于X溶液中

①A元素在周期表中的位置是        (填所在周期和族);Y的化学式是         

②含a mol X的溶液溶解了一定量A后,若溶液中两种金属阳离子的物质的量恰好相等,则被还原的X是____mol。

  (3)若A、B、X、Y均为化合物。A溶于水电离出的阳离子和水作用的生成物可净化水,向A溶液中加入硝酸酸化的AgNO33溶液,产生白色沉淀;B的焰色为黄色。则A与B按物质的量之比1:4恰好反应后,溶液中离子浓度从大到小的顺序是                   

 

违法和不良信息举报电话:027-86699610 举报邮箱:58377363@163.com

精英家教网