题目内容

有机物EF可用作塑料增塑剂或涂料中的溶剂,它们的相对分子质量相等,可用以下方法合成如下图所示:

请写出:

1)有机物的名称:A________B________

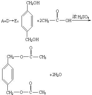
2)化学方程式:A+DE________

B+CF________

3X反应的条件和类型:________

4EF相互关系属________(填序号)。

①同系物    ②同分异构体    ③同一种物质    ④同一类物质

 

答案:
解析:

(1)A:对苯二甲醇,B:对苯二甲酸

(2)

(3)取代  光

(4)②④

 


练习册系列答案
相关题目

违法和不良信息举报电话:027-86699610 举报邮箱:58377363@163.com

精英家教网