题目内容

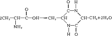
α-氨基酸分子能在两个分子间-NH2与-COOH脱水,形成环状化合物交酰胺.试写出两个丙氨酸分子形成环状交酰胺(环状二肽)的化学方程式:________.

答案:
解析:

  答案:

  解析:两个丙氨酸分子形成环状二肽,必须是氨基酸分子中的氨基和另一氨基酸分子中的羧基相互反应,只有这样才能形成环.


练习册系列答案
相关题目

违法和不良信息举报电话:027-86699610 举报邮箱:58377363@163.com

精英家教网