题目内容
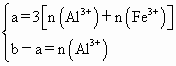
向1 L AlCl3和FeCl3混合溶液中加入含a mol NaOH的溶液时,产生的沉淀量可达最大值;继续加入NaOH溶液,沉淀开始溶解,当前后加入的NaOH总量达到b mol时,沉淀不再减少,求原溶液中Fe3+的物质的量浓度.
答案:
解析:
解析:
|
因为:Fe3++3OH?/SUP>=Fe(OH)3↓(1分),Al3++3OH?/SUP>=Al(OH)3↓, Al(OH)3+3OH?/SUP>=AlO2?/SUP>+2H2O(1分)根据物质的量比得: 1 L溶液中: 解得:n(Fe3+)]=(4a/3-b)mol/L |
练习册系列答案
相关题目
下列曲线图(纵坐标为沉淀的量,横坐标为加入物质的物质的量)与对应的选项相符合的是( )![]()
![]()
| A.向1 L浓度均为0.1 mol·L-1的Ba(OH)2、NaAlO2混合液中加入0.1 mol·L-1的稀H2SO4 |
| B.向1 L浓度分别为0.1 mol·L-1和0.3 mol·L-1的AlCl3、NH4Cl的混合液中加入0.1 mol·L-1的NaOH溶液 |
| C.向烧碱溶液中滴加明矾溶液 |
| D.向AlCl3溶液中滴加过量氨水 |