题目内容

某烃相对分子质量为106,试求:

(1)该烃的分子式为_________。

(2)该烃如含苯环,则在苯环上的一硝基取代物共有_________种。

 

【答案】

(1)C8H10 (2)9

【解析】

试题分析:烃可分为四类:烷烃、烯烃、炔烃、苯及其同系物,可根据各类烃的通式逐一讨论,确定其分子式和各同分异构体的结构式,再进一步判断该烃的一硝基取代物共有多少种。

(1)此烃若为:

①烷烃:CnH2n+2,M=106,14n+2=106,n=7.43。

②烯烃:CnH2n,M=106,14n=106,n=7.57。

③炔烃:CnH2n-2,M=106,14n-2=106,n=7.71。

④苯及其同系物:CnH2n-6,M=106,14n-6=106,n=8。

n=8为合理数值,即该炔分子式为C8H10

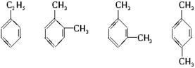
(2)C8H10为苯的同系物,共有4种同分异构体:

某一硝基取代物(苯环上小圆圈表示取代位置)有:

故C8H10的一硝基取代物共有9种。

考点:考查有机物分子式的确定和同分异构体的判断

点评:试题基础性强,注重知识的灵活性,有利于调动学生的学习兴趣,激发学生学生的学习求知欲。也有助于培养学生严谨的逻辑推理能力,提高学生的应试能力。该题的难点在于同分异构体的判断,该题主要是通过判断等效氢原子的种类确定一卤代物的。等效氢原子的判断依据是,首先同一个碳原子上的氢原子是相同的,其次同一个碳原子所连接的所有甲基上的氢原子是相同的,再就是具有对称性结构的(类似于平面镜成像中物体和像的关系)。

 

练习册系列答案
相关题目

违法和不良信息举报电话:027-86699610 举报邮箱:58377363@163.com

精英家教网