题目内容

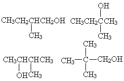
写出分子式为C5H12O的醇的所有同分异构体的结构简式.

答案:
解析:

  解析:

  同分异构体包括官能团异构、碳链异构和位置异构.本题只要求写出醇的同分异构体,所以不需要考虑官能团的异构.

  1)碳链异构:五个碳原子的碳链有三种:

  

  2)位置异构:指OH基位置的异构.

  (用数字表示OH连接的不同位置)

  

  所以,共有8种醇的同分异构体.然后将碳架改写为结构简式.

  答案:

  CH3CH2CH2CH2CH2OH

  

  解题技巧:

  1)同分异构体的书写一般按官能团异构→碳链异构→位置异构的顺序来写;

  2)书写时先写出各同分异构体的碳架,再根据碳的四价补充H原子;

  3)写同分异构体时注意要写全而不要重复.

  方法如下:

  寻找等效碳或等效氢、等效键,有多少种不等效的原子或化学键,即有多少种位置异构.

  a同一碳原子上的氢原子是等效的;

  b同一碳原子上所连甲基上的碳原子(氢原子)是等效的;

  c处于碳链对称位置上的碳原子(氢原子)是等效的;

  d处于碳链对称位置上的化学键是等效的.

  如:

  1、5号,2、4号,6、7号碳为等效碳原子,所以该碳架的一元取代异构体共3种.

  同理可分析;化学键①④、②③、⑤⑥等效.所以,若为烯或炔,则C=C、C≡C键位置异构有3种,若为醚,则氧原子的位置异构有3种.


练习册系列答案
相关题目
人们对苯及芳香烃的认识有一个不断深化的过程.
(1)由于苯的含碳量与乙炔相同,人们认为它是一种不饱和烃,写出分子式为 C6H6的两种含两个叁键且无支链链烃的结构简式

(2)已知分子式为 C6H6的结构有多种,其中的两种为图1,
①这两种结构的区别表现在:定性方面(即化学性质方面):(Ⅰ)不能而(Ⅱ)能
ab
ab
(选填a、b、c、d,多选扣分)
a.被酸性高锰酸钾溶液氧化      b.与溴水发生加成反应
c.与溴发生取代反应            d.与氢气发生加成反应
定量方面(即消耗反应物的量的方面):1mol C6H6与H2加成时:(Ⅰ)需
3
3
mol,而(Ⅱ)需
2
2
mol.
②今发现 C6H6还可能有另一种如图2立体结构:该结构的二氯代物有
3
3
种.
(3)萘也是一种芳香烃,它的分子式是C10H8,请你判断,它的结构简式如图3,可能是下列中的
c
c
(填入编号).
(4)根据第(3)小题中你判断得到的萘结构简式,它不能解释萘的下列
a
a
事实(填入编号).
a.萘不能使溴水褪色                b.萘能与H2发生加成反应
c.萘分子中所有原子在同一平面上    d.一溴代萘(C10H7Br)只有两种
(5)现代化学认为萘分子碳碳之间的键是
介于单键与双键之间的独特的键
介于单键与双键之间的独特的键
;根据第(4)小题中萘的性质及我们学过的苯的结构简式推测,请你写出你认为的萘的结构简式

违法和不良信息举报电话:027-86699610 举报邮箱:58377363@163.com

精英家教网