题目内容

120℃101kPa时,将1L某气态炔烃与某气态烯烃的混合气体与14 LO2(过量)混合,点燃充分反应后所得到的气体在相同条件下为15L,通过计算确定混合气体中炔烃和烯烃的分子式及它们的体积比.

 

答案:
解析:

在相同条件下反应前后的体积:

  反应前:1 L+14 L=15 L;反应后:15 L.

  即反应前后气体体积相等.

  设混合烃的平均分子式为CxHy

   CxHy + (x+)OxCO + HO(g)

  依题意:y=4

  即混合烃的平均组成为CxH4

讨论:(1)若烯烃、炔烃分子中氢原子数均为4,则该烃由乙烯(C2H4)和丙炔(C3H4)组成,其体积比为任意比.

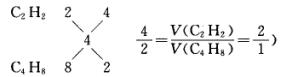
  (2)若烯烃分子中氢原子数大于4,则炔烃分子中氢原子数必小于4,必为乙炔,所含烯烃为C3H6或C4H8.所以混合烃的组成有两种可能:C2H2和C3H6或C2H2和C4H8

用十字交叉法计算混合烃中各种烃的体积比:

①     若混合烃由C2H2和C3H6组成:

  ②若混合烃由C2H2和C4H8组成:

  

 


练习册系列答案
相关题目

违法和不良信息举报电话:027-86699610 举报邮箱:58377363@163.com

精英家教网