题目内容

在一个密闭容器中盛有11 g X气体(X的摩尔质量为44 g·mol-1)时,压强为1×104 Pa.如果在相同温度下,把更多的X气体充入容器,使容器内的压强增至5×104Pa,这时容器内气体X的分子数约为

A.

1.505×1023

B.

6.02×1023

C.

7.5×1023

D.

3.01×1024

答案:C
解析:

  气体X的物质的量为:11 g÷44 g·mol-1=0.25 mol

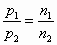
  根据阿伏加德罗定律的推论:

  同T同V:

  

  n2=1.25 mol

  即N=1.25 mol×6.02×1023 mol-1=7.5×1023


练习册系列答案
相关题目

违法和不良信息举报电话:027-86699610 举报邮箱:58377363@163.com

精英家教网