题目内容

某有机化合物A的结构简式如下:

(1)A的分子式是________

(2)ANaOH水溶液中加热反应得到BCC是芳香化合物.BC的结构简式是B________C________.该反应属于________反应.

(3)室温下,C用稀盐酸酸化得到EE的结构简式是________________________

(4)在下列物质中,不能与E发生化学反应的是(填写序号)________

①浓H2SO4和浓HNO3的混合液 ②CH3CH2OH(酸催化) ③CH3CH2CH2CH3 ④Na ⑤CH3COOH(酸催化)

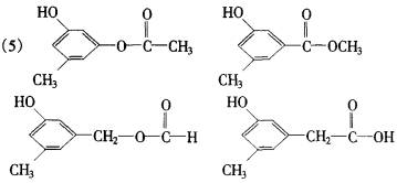
(5)写出同时符合下列两项要求的E的所有同分异构体的结构简式.

①化合物是135-三取代苯

②苯环上的三个取代基分别为甲基、羟基和含有结构的基团

 

答案:
解析:

解析:考查有机物结构与性质间的关系.(1)A的分子式为C16H21O4N.

(2)A分子中含有一个酯基(),在NaOH水溶液中可水解生成羧酯钠盐和醇.

(3)羧酸钠用稀盐酸酸化得到羧酸E:

(4)E分子中有羧基(—COOH)和醇羟基(—OH),羧基能与②CH3CH2OH发生酯化反应,与④Na发生反应生成H2,羟基能与④Na反应放出H2,与⑤CH3COOH发生酯化反应.由于E中含有苯环,因此能与①发生硝化反应.

(5)羧酸和酯互为同分异构体,根据题给限定条件,可能的结构有:

答案:(1)C16H21O4N

(2)

取代(酯的水解)

(3) (4)③

 


练习册系列答案
相关题目
为测定某有机化合物A的结构,进行如下实验.
[分子式的确定]
(1)将有机物A置于氧气流中充分燃烧,实验测得:生成5.4g H2O和8.8g CO2,消耗氧气6.72L(标准状况下).则该物质中各元素的原子个数比是
n(C):n(H):n(O)=2:6:1
n(C):n(H):n(O)=2:6:1

(2)质谱仪测定有机化合物的相对分子质量为46,则该物质的分子式是
C2H6O
C2H6O

(3)根据元素的化合价,预测A的可能结构并写出结构简式
CH3CH2OH、CH3-O-CH3
CH3CH2OH、CH3-O-CH3

[结构式的确定]
(4)经测定,有机物A分子内有3类氢原子,则A的结构简式为
CH3CH2OH
CH3CH2OH

[性质实验]
(5)A在铜的催化下,可被氧气氧化为B,反应方程式为:
2CH3CH2OH+O22CH3CHO+2H2O
2CH3CH2OH+O22CH3CHO+2H2O

B在加热的条件下与银氨溶液反应,反应方程式为:
CH3CHO+2Ag(NH32OH
水浴加热
2Ag↓+3NH3↑+H2O+CH3COONH4
CH3CHO+2Ag(NH32OH
水浴加热
2Ag↓+3NH3↑+H2O+CH3COONH4

(6)A在一定条件下脱水可生成C,C可聚合成包装塑料D,请写出C转化为D的化学反应方程式:
nCH2=CH2
nCH2=CH2

(7)体育比赛中当运动员肌肉扭伤时,队医随即用氯乙烷(沸点为12.27℃)对受伤部位进行局部冷冻麻醉.请用C选择合适的试剂和方法制备氯乙烷,要求原子利用率为100%,请写出制备反应方程式:
CH2=CH2+HClCH3CH2Cl,
CH2=CH2+HClCH3CH2Cl,

(8)A可通过粮食在一定条件下制得,由粮食制得的A在一定温度下密闭储存,因为发生一系列的化学变化而变得更醇香.请写出最后一步反应的化学方程式:
CH3COOH+CH3CH2OHCH3COOC2H5+H2O,
CH3COOH+CH3CH2OHCH3COOC2H5+H2O,

违法和不良信息举报电话:027-86699610 举报邮箱:58377363@163.com

精英家教网