题目内容

设X、Y、Z代表三种元素.已知:

两种离子具有相同的电子层结构;

②Z元素原子核内质子数比Y元素原子核内质子数少9个;

③Y和Z两种元素可以形成4核42个电子的负一价阴离子.

据此,请填空:

(1)Y元素是______,Z元素是______

(2)由X、Y、Z三种元素所形成的含68个电子的盐类化合物的化学式是______.

答案:略
解析:

(1)ClO(2)

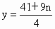
  依题意,假设元素Y的原子序数为了,则元素Z的原子序数为(y9).若以表示由这两种元素所形成的442个电子的负一价离子,则下列关系式成立:

所以

  因n为整数,将其可能的取值123分别代入上式,经检验确定:n=3y=17.所以,元素Y的原子序数为17,它是氯(Cl),而元素Z的原子序数为(179)=8,它是氧(O),进而可知元素X为钾(K),这三种元素所形成的含68个电子的盐的化学式为(所含电子数为:19174×8=68)


练习册系列答案
相关题目

违法和不良信息举报电话:027-86699610 举报邮箱:58377363@163.com

精英家教网