题目内容

高温下丁烷完全裂化生成四种气体,将混合气体用溴水处理后,剩余气体的平均分子质量为21.6,则原四种混合气体的平均分子质量是

A.21.6          B.27.6         C.29          D.36.4

 

【答案】

C

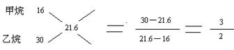
【解析】高温下丁烷完全裂化生成四种气体分别是甲烷CH4、乙烷C2H6、乙烯C2H4、丙烯C3H6,方程式为。混合气体用溴水处理后,剩余气体应是甲烷和乙烷,根据十字交叉可计算出甲烷和乙烷的物质的量之比是

。所以由方程式可知甲烷、乙烷、乙烯、丙烯的物质的量之比是3︰2︰2︰3,故原四种混合气体的平均分子质量是,即答案是C。

 

练习册系列答案
相关题目

违法和不良信息举报电话:027-86699610 举报邮箱:58377363@163.com

精英家教网