关于公式 R=
,下列说法中正确的是
| A.导体的电阻由它两端的电压和通过它的电流决定 |
| B.导体的电阻等于导体两端的电压跟通过它电流的比值 |
| C.导体两端的电压一定时,导体的电阻跟通过它的电流成反比 |
| D.通过导体的电流一定时,导体的电阻跟它两端的电压成正比 |
小朱在测量一电阻的阻值时,用相同的器材设计了两个电路,电路图如图所示。若把滑动变阻器的滑片从最左端移到最右端(电压表、电流表均未超过量程),下列说法正确![]()
| A.甲图电压表示数变化范围大 | B.乙图的电压表示数变化范围大 |
| C.甲图的电流表示数变化范围大 | D.甲图和乙图的电流表示数变化范围一样大 |
图所示的电路中,电源两端的电压保持不变。闭合开关S后,滑动变阻器的滑片P向右移动,下列说法中正确的是
| A.电压表V1的示数变大 |
| B.电压表V1的示数保持不变 |
| C.电压表V2的示数保持不变 |
| D.电压表V1与电压表V2的示数之和保持不变 |
学习了电学知识后物理兴趣小组对亮度可调的应急灯进行了探究发现它的亮度调节开关相当于一个滑动变阻器,电路如图所示。闭合开关用电压表和电流表对其进行测量,调节滑动变阻器使灯泡变亮的过程中,电压表和电流表的示数变化情况是(电源电压保持不变)( )
| A.电流表A的示数变小 | B.电压表V1的示数变大 |
| C.电压表V1的示数变小 | D.电压表V2的示数不变 |
由欧姆定律
推得
,下列说法中正确的是
| A.在导体的电阻一定时,导体两端的电压跟导体中的电流成正比 |
| B.导体的电阻与通过导体的电流成反比 |
| C.导体的电阻是导体本身的属性,等于电压与电流的比值 |
| D.以上说法都不对 |
如下图所示电路中,电源电压U=4.5 V,且保持不变,定值电阻R1=5 Ω,变阻器R2最大阻值为20 Ω,电流表量程为0~0.6 A,电压表量程为0~3 V.为保护电表,变阻器接入电路的阻值范围是( )
| A.0 Ω~10 Ω | B.0 Ω~20 Ω |
| C.5 Ω~20 Ω | D.2.5 Ω~10 Ω |
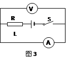
如图所示,电源电压不变,当开关S由断开变为闭合时,电压表和电流表示数的变化情况是( )
| A.电压表、电流表的示数均变小 |
| B.电压表、电流表的示数均变大 |
| C.电压表的示数不变,电流表的示数变大 |
| D.电压表的示数变大,电流表的示数不变 |