搜索
如图所示,下列透镜中哪些是凸透镜( )
A、1、2、3
B、4、5、6
C、1、3、5
D、2、4、6
如图所示,是几种光学器材的示意图,其中凹透镜的是( )
A、
B、
C、
D、
如图A、B、C、D四种光学器件中,属于凸透镜的是( )
A、
B、
C、
D、
在图中的方框中填上合适的镜.
在图中A点处画出适当的透镜的位置.
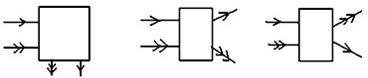
光线通过一个透镜后的传播方向如图所示,则该透镜为
.
在图中填上合适的透镜.
某人配戴的眼镜镜片是凸透镜,其中心的厚度为1.7mm,则该镜片边缘的厚度应
1.7mm(选填“大于”“等于”或“小于”).
如图所示的四块玻璃制成的透镜中,属于凸透镜的是
(写字母),对透过的光线有
作用;属于凹透镜的是
(写字母),对透过的光线有
作用.
把一个透明均匀的玻璃球切成五块,c能使平行光
,b能使平行光
.
0
69031
69039
69045
69049
69055
69057
69061
69067
69069
69075
69081
69085
69087
69091
69097
69099
69105
69109
69111
69115
69117
69121
69123
69125
69126
69127
69129
69130
69131
69133
69135
69139
69141
69145
69147
69151
69157
69159
69165
69169
69171
69175
69181
69187
69189
69195
69199
69201
69207
69211
69217
69225
235360
关 闭
试题分类
高中
数学
英语
物理
化学
生物
地理
初中
数学
英语
物理
化学
生物
地理
小学
数学
英语
其他
阅读理解答案
已回答习题
未回答习题
题目汇总
试卷汇总
练习册解析答案