小杨家买了一个家用电吹风,如图甲所示,简化电路如图乙所示,主要参数如表格中所示。则(不考虑温度对电阻的影响):
| 热风温度 | 45 ℃~75 ℃ |
| 额定功率 | 热风1200W |
| 冷风200W | |
| 额定电压 | 220V |
| 质量 | 0.66kg |
![]()
(1)选择开关应旋至何处时,吹风机正常工作的功率最大?此时电路中的总电流多大?(计算结果保留一位小数)
(2)当电路供电电压为110V时,吹风机电热丝的实际功率为多大?
九年级物理课本中给出了一些物体的动能,如下表所示:
| 行走的牛 | 约60J |
| 跑百米的运动员 | 3×103J |
| 飞行的步枪子弹 | 5×103J |
请你根据表中的数据和所学的相关物理知识推断:
(1)在质量和速度这两个物理量中,对动能影响较大的是______(选填“质量”或“速度”);
(2)物体的动能(E)与物体的质量(m)和运动速度(v)的定量关系,你认为正确的是下面的哪一个?
A. E=mv B. E=
C. E=
mv2
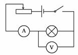
利用如图所示的电路,探究“导体中的电流跟导体电阻的关系”,所得部分数据如表中所示:
| 电压/V | 5 | 5 | 5 |
| 电阻/W | 10 | 20 | |
| 电流/A | 0.50 | 0.20 |
![]()
(1)完成表中空格的填写;
(2)某同学想利用平面直角坐标系中描点作图像的方法来描述它们的变化规律。如果横轴的自变量表示变化的定值电阻R,则纵轴的函数用变化的量______来表示,就可以在第一象限画出一条正比例函数图像。