题目内容
给你电源、开关、一个电流表、一个已知电阻值的电阻R、导线若干,用上述器材来测出未知电阻Rx的阻值.(1)画出设计的电路图
(2)简要叙述实验过程:
【答案】分析:求电阻阻值的原理是欧姆定律,需要求出电阻两端的电压与流过电阻的电流,然后由欧姆定律求出电阻的阻值,据此设计实验电路、确定需要测的、求出电阻值.
解答:解:方法一:让定值电阻与待测电阻并联,电路图如图1所示,
①将电流表与R串联,闭合开关S,记下电流表的示数I;
②断开开关,将电流表与RX串联,然后闭合开关S,记下电流表的示数Ix,
③电源电压不变,所以有UR=UX,即IR=IXRx 故RX=
=
=
;
方法二:两电阻串联,开关与待测电阻并联,电路连接如图2所示,
①闭合开关S,记下电流表的示数I;
②断开开关S,记下电流表的示数I′;
③电源电压不变,则IR=I′(Rx+R),
故RX=
R;
方法三:电路连接如图3所示,闭合开关S,
记下电流表示数I,则I为电路中总电流,断开开关S,记下电流表示数I1,则I1为通过电阻R的电流,
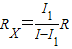
据并联电路的特点I=I1+Ix得Ix=I-I1,因两电阻并联,所以有I1R=IXRX即I1R=(I-I1)RX,
故
点评:本题是一道实验设计题,有一定的难度,知道测电路电阻的原理:欧姆定律,熟练应用串并联电路的特点、欧姆定律即可解题.
解答:解:方法一:让定值电阻与待测电阻并联,电路图如图1所示,
①将电流表与R串联,闭合开关S,记下电流表的示数I;
②断开开关,将电流表与RX串联,然后闭合开关S,记下电流表的示数Ix,
③电源电压不变,所以有UR=UX,即IR=IXRx 故RX=
方法二:两电阻串联,开关与待测电阻并联,电路连接如图2所示,
①闭合开关S,记下电流表的示数I;
②断开开关S,记下电流表的示数I′;
③电源电压不变,则IR=I′(Rx+R),
故RX=
方法三:电路连接如图3所示,闭合开关S,
记下电流表示数I,则I为电路中总电流,断开开关S,记下电流表示数I1,则I1为通过电阻R的电流,
据并联电路的特点I=I1+Ix得Ix=I-I1,因两电阻并联,所以有I1R=IXRX即I1R=(I-I1)RX,
故
点评:本题是一道实验设计题,有一定的难度,知道测电路电阻的原理:欧姆定律,熟练应用串并联电路的特点、欧姆定律即可解题.
练习册系列答案
相关题目