题目内容
从2011 年5 月11 日起,执行酒驾重罚新规定。交警使用的某型号酒精测试仪的工作原理相当于如图所示。电源电压恒为9V ,传感器电阻R2的电阻值随酒精气体浓度的增大而减小,当酒精气体的浓度为0 时,R2的电阻为80 Ω。使用前要通过调零旋钮( 即滑动变阻器R1的滑片) 对测试仪进行调零,此时电压表的示数为8V 。求:
(1) 电压表的示数为8V 时,电流表的示数为多少?
(2) 电压表的示数为8V 时,滑动变阻器R1的电阻值为多少?
(3)调零后,R1的电阻保持不变。某驾驶员对着测试仪吹气10s,电流表的示数达到0.4A,该驾驶员醉驾了,此时电压表的示数为多少?
(1) 电压表的示数为8V 时,电流表的示数为多少?
(2) 电压表的示数为8V 时,滑动变阻器R1的电阻值为多少?
(3)调零后,R1的电阻保持不变。某驾驶员对着测试仪吹气10s,电流表的示数达到0.4A,该驾驶员醉驾了,此时电压表的示数为多少?
解:
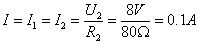
(1)因为R2和滑动变阻器串联,当R2=80 Ω,电压表示数U2为8V 时,![]()
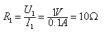
(2)U1=U-U2=9V-8V=1V ![]()
(3)当R1的电阻保持不变,,电流表的示数I'为0.4A时,U1'=I'R1=0.4A×10Ω=4V,U2'=U- U1'=9V-4V=5V.
练习册系列答案
相关题目