题目内容

(2006、北京市)小东想估测出某种油的密度,他手边的测量工具只有刻度尺,小东利用身边的器材设计出一个实验方案.首先找一根直硬棒,用细线系在O点吊起,硬棒在水平位置平衡,然后将已知密度为ρ的金属块B挂在硬棒左端C处,另外找一个重物A挂在硬棒右端,调节重物A的位置,使硬棒在水平位置平衡,此时重物挂在硬棒上的位置为E,如图所示.下面是小东测出的部分实验步骤,请你按照小东的实验思路,将实验步骤补充完整.

(1)用刻度尺测出OE的长度

(2)把金属块B浸没在油中,把重物AE处移动到D处时,硬棒再次在水平位置平衡;

(3)_______________________________________

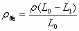
(4)利用上述测量出的物理量和题中的已知量计算的表达式为:__________________

答案:略
解析:

(3)测出此时OD的长度为(4)


练习册系列答案
相关题目

违法和不良信息举报电话:027-86699610 举报邮箱:58377363@163.com

精英家教网