ÌâÄ¿ÄÚÈÝ
ÈçͼËùʾ£¬µçÔ´Á½¶Ëµçѹ²»±ä¡£µ±±ÕºÏ¿ª¹ØS¡¢S1£¬»¬¶¯±ä×èÆ÷½ÓÈëµç·µÄ×èֵΪRMʱ£¬µçѹ±íV1µÄʾÊýΪU1£¬µç×èR1µÄµç¹¦ÂÊP1=10W£¬µçÁ÷±íµÄʾÊýΪI1£»µ±Ö»±ÕºÏ¿ª¹ØS£¬»¬¶¯±ä×èÆ÷½ÓÈëµç·µÄ×èֵΪRNʱ£¬µçѹ±íV2µÄʾÊýΪU2£¬µç×èR1Ó뻬¶¯±ä×èÆ÷µÄ×ܹ¦ÂÊP2=5W£¬µçÁ÷±íµÄʾÊýΪI2£»µ±Ö»±ÕºÏ¿ª¹ØS£¬»¬¶¯±ä×èÆ÷µÄ»¬Æ¬PÒÆµ½B¶Ëʱ£¬µç×èR2µÄ¹¦ÂÊΪP3£¬µçÁ÷±íµÄʾÊýΪI3¡£
ÒÑÖª£º
£¬
¡£Çó£º
£¨1£©µçÁ÷I1ÓëI2Ö®±È£»
£¨2£©µç×èRMÓëRNÖ®±È£»
£¨3£©µç¹¦ÂÊP3¡£
£¨Ç뻳öÏà¹Øµç·״̬µÄµÈЧµç·ͼ£©
![]()
£¨1£©4¡Ã1 £¨2£©2¡Ã7 £¨3£©14.4W
¡¾½âÎö¡¿
ÊÔÌâ·ÖÎö£º±ÕºÏ¿ª¹ØS¡¢S1£¬»¬¶¯±ä×èÆ÷½ÓÈëµç·µÄµç×èΪR M£¬¼ò»¯µç·Èçͼ¼×Ëùʾ£»
Ö»±ÕºÏ¿ª¹ØS£¬»¬¶¯±ä×èÆ÷½ÓÈëµç·µÄµç×èΪRN£¬¼ò»¯µç·ÈçͼÒÒËùʾ£»
Ö»±ÕºÏ¿ª¹ØS£¬»¬¶¯±ä×èÆ÷µÄ»¬Æ¬PÒÆµ½B¶Ë£¬¼ò»¯µç·Èçͼ±ûËùʾ£º
![]()
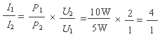
£¨1£©ÓÉͼ¼×¡¢ÒҵãºP1=U1I1=10W£¬ P2=U2I2=5W£¬
£»
£¨2£©ÓÉͼ¼×¡¢ÒҵãºU1= I1R1£¬U2=I2£¨R1+ RN£©
¼´![]()
Ôò£ºRN =7 R1 ---¢Ù
µçÔ´µçѹһ¶¨£ºI1£¨R1+ RM£©= I2£¨R1+ RN + R2£©
4 RM = R1+ RN ---¢Ú
½«¢Ù´úÈë¢ÚµÃ£ºRM =2 R1
Ôò£ºRM /RN=2/7£»
£¨3£©ÓÉͼ¼×¡¢±ûµÃ£º
£¬![]()
£¬
£¬
¡£
¿¼µã£ºÅ·Ä·¶¨ÂɵÄÓ¦Óú͵繦ÂʵļÆËã
| A¡¢S±ÕºÏºó£¬Ê¹µçѹ±íµÄʾÊý¼õÉÙ1V£¬Ð¡µÆÅÝLÁ½¶ËµÄµçѹ¾ÍÔö¼Ó1V | B¡¢S±ÕºÏºó£¬Ð¡µÆÅÝLµÄ×îСʵ¼Êµç¹¦ÂÊΪ2W | C¡¢Ð¡µÆÅÝLÕý³£·¢¹âʱ£¬±ä×èÆ÷RÏûºÄµÄµç¹¦ÂÊΪ6W | D¡¢¿ª¹ØS¶Ï¿ªÊ±£¬µçѹ±íµÄʾÊýΪ12V |