题目内容
在用天平和量筒测定金属块密度的实验中:
(1) 现有以下可供选择的实验步骤:
A.将金属块投入盛水量筒中,记下水和金属块的总体积,记为Va;
B.调节好天平,用天平称出金属块的质量(尚未用量筒测体积)记为m;
C.将量筒盛有适量的水,记下水的体积,记为Vc。
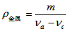
请按合理的顺序将实验步骤的序号填写在下面的横线上(要求误差较小)____________________。写出金属块密度的表达式________________。
(2)根据图中所示结果,将下表填写完整。
(1) 现有以下可供选择的实验步骤:
A.将金属块投入盛水量筒中,记下水和金属块的总体积,记为Va;
B.调节好天平,用天平称出金属块的质量(尚未用量筒测体积)记为m;
C.将量筒盛有适量的水,记下水的体积,记为Vc。
请按合理的顺序将实验步骤的序号填写在下面的横线上(要求误差较小)____________________。写出金属块密度的表达式________________。
(2)根据图中所示结果,将下表填写完整。
(1)BCA;
(2)“略”
练习册系列答案
相关题目
在用天平和量筒测定金属块密度的实验中:
(1)现有以下可供选择的实验步骤:
A.将金属块投入盛水量筒中,记下水和金属块的总体积,记为Va;
B.将金属块从量筒中取出,记下量筒中水的体积,记为Vb;
C.调节好天平,用天平称出从量筒中取出的金属块的质量记为ma;
D.调节好天平,用平天称出金属块的质量(尚未用量筒测体积)记为mb;
E.将量筒盛有适量的水,记下水的体积,记为Vc.
请选择必要的步骤,并按合理的顺序填写在下面的横线上( 要求误差较小) .写出金属块密度的表达式 .
(2)根据图中所示结果,将下表填写完整.
(1)现有以下可供选择的实验步骤:
A.将金属块投入盛水量筒中,记下水和金属块的总体积,记为Va;
B.将金属块从量筒中取出,记下量筒中水的体积,记为Vb;
C.调节好天平,用天平称出从量筒中取出的金属块的质量记为ma;
D.调节好天平,用平天称出金属块的质量(尚未用量筒测体积)记为mb;
E.将量筒盛有适量的水,记下水的体积,记为Vc.
请选择必要的步骤,并按合理的顺序填写在下面的横线上( 要求误差较小)
(2)根据图中所示结果,将下表填写完整.
| 金属块的质量(g) | 金属块的体积(cm3) | 金属块和水的总体积(cm3) | 量筒内水的体积(cm3) | 金属块的密度(g/cm3) |
| 30 |