题目内容

某物体沿直线运动,前一半路程的平均速度为30 m/s,后一半路程的平均速度为20 m/s,物体在全程中的平均速度是

A.20m/s     B.30m/s     C.24m/s     D.25m/s

 

【答案】

C

【解析】

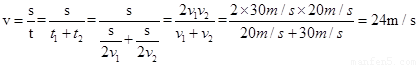
试题分析:设总路程为s,算出前一半路程用的时间t1,后一半路程用的时间t2,则总时间为t=t1+t2,用公式计算出平均速度.设总路程为s,则前、后一半路程均为,前一半路程用的时间,后一半路程所用的时间,物体全程时间t=t1+t2,全程平均速度

考点: 平均速度

 

练习册系列答案
相关题目

违法和不良信息举报电话:027-86699610 举报邮箱:58377363@163.com

精英家教网