题目内容


(1996第六届初中应用物理知识竞赛复赛)小华用一只有颈圆柱形的塑料饮料瓶和一桶水、一把尺就巧妙地测出了食用油的密度。写出他的操作步骤,用字母代表测量量,推导出计算密度的公式。



(1)剪去饮料瓶的上部,保留中间的圆柱部分。

(2)瓶中放入几个石块和少量水,使水没过石块,将它放入桶中。使它浮在水面上,测量露出水面的瓶高h1

(3)在瓶内注入一些待测的食用油,测量瓶内水面上的油层厚度H。

(4)再次将瓶放入桶中,测量露出水面的瓶高h2

推导计算ρ的公式:

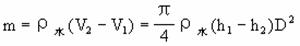
瓶的直径记为D,第一次放入桶中以后,排开水的体积记为V1,注入食用油后排开水的体积记为V2,于是

水的密度记为ρ,根据阿基米德原理,食用油所受的重力为

mg=ρ(V2-V1)g

食用油的质量为


练习册系列答案
相关题目

违法和不良信息举报电话:027-86699610 举报邮箱:58377363@163.com

精英家教网