题目内容

如图所示电路中,电源电压U恒定,L是标有“6V3.6W”的小灯泡,电阻都闭合时,小灯泡正常发光.求:

(1)都断开时,电压表的示数是多大?灯泡的实际功率是多大?

(2)都闭合时,电流表的示数是多大?电路中的总电功率多大?

答案:3V,0.9W;1.2A,7.2W
解析:

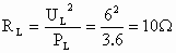
解:都闭合时,被短路,和灯L并联,小灯泡正常发光,所以电源电压为U=6V,灯泡电阻

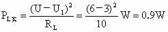
(1)都断开时,和灯L串联,

则电压表示数为:

灯泡消耗的实际功率为:

(2)都闭合时,只有和灯L并联,电流表的示数即电路中的总电流为:

电路消耗的总电功率为:P=UI=1.2=7.2W

  利用公式P=UI及串、并联电路中电流、电压特点,结合数学知识计算即或.注意开关断开和闭合时电路连续情况的分析.

  本题渗透了“注重全体学生的发展,改变学科本位的观念”的新课标理念.


练习册系列答案
相关题目

违法和不良信息举报电话:027-86699610 举报邮箱:58377363@163.com

精英家教网