ÌâÄ¿ÄÚÈÝ
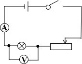
ÔÚ¡°²â¶¨Ð¡µÆÅݵ繦ÂÊ¡±µÄʵÑéÖУ¬µÆÅݵĶµçѹΪ2.5V£¬µÆË¿µÄµç×èÔ¼
Ϊ8¦¸£®
£¨1£©ÔÚÁ¬½Óµç·ʱ£¬¿ª¹ØÓ¦´¦ÓÚ______״̬£®
£¨2£©ÇëÓñʻÏß´úÌæµ¼Ïߣ¬°ÑͼÖеĵç·Ԫ¼þÁ¬½Ó³ÉʵÑéµç·£®£¨Á¬Ïß²»µÃ½»²æ£©
£¨3£©»³öµç·ͼ
£¨4£©ÊµÑé¹ý³ÌÖУ¬µ÷½Ú»¬¶¯±ä×èÆ÷£¬µ±µçѹ±íµÄʾÊýΪ______Vʱ£¬µÆÅÝÕý³£·¢¹â£®Èô´ËʱµçÁ÷±íµÄʾÊýÈçͼËùʾ£¬Ôòͨ¹ýµÆÅݵĵçÁ÷Ϊ______A£¬Ð¡µÆÅݵĶ¹¦ÂÊÊÇ______W£®
£¨5£©ÊµÑéʱ£¬Èô·¢ÏÖµÆÅݲ»ÁÁ£¬µçÁ÷±íÎÞʾÊý£¬µ«µçѹ±íÓÐʾÊý£¬Ôò²úÉú¹ÊÕϵÄÔÒò¿ÉÊÇ______£¨Ð´³öÒ»Ìõ¼´¿É£©£®
½â£º£¨1£©Á¬½Óµç·µÄ¹ý³ÌÖУ¬¿ª¹Ø±ØÐëÏȶϿª£¬±ÜÃâÏß·¢Éú¶Ì·£¬ÉÕ»µÓõçÆ÷£®
£¨2£©£¨3£©Èçͼ


£¨4£©µÆÅÝÕý³£·¢¹âʱµÄµçѹ¼´¶î¶¨µçѹ2.5V£»
£¬
£»
£¨5£©µçѹ±íÓÐʾÊý£¬ËùÒÔµÆË¿¶ÏÁË£®
¹Ê´ð°¸Îª£º¶Ï¿ª£¬2.5V£¬0.31A£¬0.78W£¬µÆË¿¶ÏÁË£®
·ÖÎö£º£¨1£©¸ù¾ÝʵÎïµÄµç·Á¬½Ó½øÐзÖÎö£»
£¨2£©µçÁ÷±í¡¢¿ª¹Ø¡¢»¬¶¯±ä×èÆ÷ºÍСµÆÅÝ´®ÁªÁ¬½Ó£¬µçѹ±í²âÁ¿µÆÅÝÁ½¶ËµÄµçѹ£»
£¨3£©¸ù¾ÝʵÎïͼ»³öµç·ͼ£»
£¨4£©µÆÅÝÕý³£·¢¹â£¬µ÷½Ú»¬¶¯±ä×èÆ÷ʹСµÆÅÝÁ½¶ËµÄµçѹΪ¶î¶¨µçѹ£¬¸ù¾ÝI=
ºÍP=UI¼´¿ÉÇó³öµÆÅݵĶµçÁ÷ºÍ¶î¶¨¹¦ÂÊ£»
£¨5£©µçÁ÷±íÎÞʾÊý£¬ËµÃ÷µç·¶Ï·£¬µçѹ±í¼ì²âʱ£¬ÓÐʾÊýµÄÏß··¢Éú¶Ï·£®
µãÆÀ£ºÖªµÀÁ¬½Óµç·µÄÕýÈ··½·¨£¬»á¸ù¾ÝʵÎïͼ»µç·ͼ£¬»áÓõçѹ±í¡¢µçÁ÷±íÅжϵç·¹ÊÕÏ£¬»áÀûÓù¦ÂʵļÆË㹫ʽ½øÐмÆË㣮
£¨2£©£¨3£©Èçͼ
£¨4£©µÆÅÝÕý³£·¢¹âʱµÄµçѹ¼´¶î¶¨µçѹ2.5V£»
£¨5£©µçѹ±íÓÐʾÊý£¬ËùÒÔµÆË¿¶ÏÁË£®
¹Ê´ð°¸Îª£º¶Ï¿ª£¬2.5V£¬0.31A£¬0.78W£¬µÆË¿¶ÏÁË£®
·ÖÎö£º£¨1£©¸ù¾ÝʵÎïµÄµç·Á¬½Ó½øÐзÖÎö£»
£¨2£©µçÁ÷±í¡¢¿ª¹Ø¡¢»¬¶¯±ä×èÆ÷ºÍСµÆÅÝ´®ÁªÁ¬½Ó£¬µçѹ±í²âÁ¿µÆÅÝÁ½¶ËµÄµçѹ£»
£¨3£©¸ù¾ÝʵÎïͼ»³öµç·ͼ£»
£¨4£©µÆÅÝÕý³£·¢¹â£¬µ÷½Ú»¬¶¯±ä×èÆ÷ʹСµÆÅÝÁ½¶ËµÄµçѹΪ¶î¶¨µçѹ£¬¸ù¾ÝI=
£¨5£©µçÁ÷±íÎÞʾÊý£¬ËµÃ÷µç·¶Ï·£¬µçѹ±í¼ì²âʱ£¬ÓÐʾÊýµÄÏß··¢Éú¶Ï·£®
µãÆÀ£ºÖªµÀÁ¬½Óµç·µÄÕýÈ··½·¨£¬»á¸ù¾ÝʵÎïͼ»µç·ͼ£¬»áÓõçѹ±í¡¢µçÁ÷±íÅжϵç·¹ÊÕÏ£¬»áÀûÓù¦ÂʵļÆË㹫ʽ½øÐмÆË㣮
Á·Ï°²áϵÁдð°¸
Ïà¹ØÌâÄ¿