题目内容
如图所示,电源两端电压保持不变,滑动变阻器R上标有“20 Ω 2 A”、 灯L1上标有“12 V 9 W”字样,灯L2,标识不清,只能看到它的额定电压为12V;
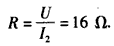
(1)当S1、S2、S3都闭合时,灯L1恰能正常发光,电流表的示数为1.5A,则滑动变阻器R接入电路的阻值是多大?
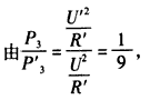
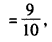
(2)将滑动变阻器的滑片调节到另一位置并保持不动。只闭合开关S1时,灯L2消耗的电功率为P1;只闭合开关S2时,灯L2消耗的电功率为P2滑动变阻器消耗的电功率为P3;当S1、S2、S3都闭合时,滑动变阻器消耗的电功率为P'3。已知100P1=81P2,9P3=P'3,不计温度对灯丝电阻的影响。求灯L2的额定功率.
(1)当S1、S2、S3都闭合时,灯L1恰能正常发光,电流表的示数为1.5A,则滑动变阻器R接入电路的阻值是多大?
(2)将滑动变阻器的滑片调节到另一位置并保持不动。只闭合开关S1时,灯L2消耗的电功率为P1;只闭合开关S2时,灯L2消耗的电功率为P2滑动变阻器消耗的电功率为P3;当S1、S2、S3都闭合时,滑动变阻器消耗的电功率为P'3。已知100P1=81P2,9P3=P'3,不计温度对灯丝电阻的影响。求灯L2的额定功率.
| 解: (1)当S1、S2、S3都闭合时电路如图甲所示 因为灯L1恰能正常发光,所以电源两端电压U=12V,通过灯L1的电流,I1= 通过滑动变阻器的电流I2=I总-I1 =0.75 A 所以此时滑动变阻器接入电路的阻值为 (2)只闭合开关S1时电路如图乙所示; 只闭合开关S2时电路如图丙所示;再次闭合S1、S2、S3时电路如图丁所示 设灯L1、灯L2滑动变阻器的滑片在另一位置时的电阻分别为R1、R2和R'。 灯L1的电阻 |
| |
练习册系列答案
相关题目
| A、S闭合后,使电压表的示数减少1V,小灯泡L两端的电压就增加1V | B、S闭合后,小灯泡L的最小实际电功率为2W | C、小灯泡L正常发光时,变阻器R消耗的电功率为6W | D、开关S断开时,电压表的示数为12V |