题目内容
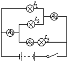
在如图所示的电路中,A1中的电流I1是A3中电流强度I3的1.5倍;A2中的电流强度I2=0.6A且是A1中电流强度I1的2倍,则灯泡L1中的电流是________A;灯泡L2中的电流是________A;灯泡L3中的电流是________A.
0.5 0.1 0.2
分析:先根据电流法分析出三盏灯的连接方式,然后再分析出电流表各测的是哪个灯泡的电流,最后再根据并联电路的电流规律进行解答.
解答:∵电流表的内阻很小相当于导线,
∴电路简化如下图:

三盏灯的连接方式为并联,电流表A1测的是L2与L3的电流之和,电流表A2测的是L1与L2的电流之和,A2测L3的电流,
∵并联电路中干路电流等于各支路电流之和,
∴由题意可:
A1的电流I1=I2′+I3′,
A2的电流I2=I1′+I2′,
A3的示数I3=I3′,
∵I1=1.5I3=1.5I3′,
∴I2′=0.5I3′,I3′=2I2′,
∵I2=0.6A,I1=I2′+I3′,I2=2I1,
∴I2=2(I2′+I3′)=2I2′+2I3′=2I2′+4I2′=6I2′=0.6A,
解得:I2′=0.1A,
I3′=2I2′=2×0.1A=0.2A,
I1′=0.6A-0.1A=0.5A.
故答案为:0.5;0.1;0.2.
点评:我们首先对电路进行简化处理,用电流法去分析电路;因为电流表的内阻很小,把电流表当作导线;电流表测量的是与它串联的用电器的电流,若电流表在干路上则测量的是干路电流.
分析:先根据电流法分析出三盏灯的连接方式,然后再分析出电流表各测的是哪个灯泡的电流,最后再根据并联电路的电流规律进行解答.
解答:∵电流表的内阻很小相当于导线,
∴电路简化如下图:
三盏灯的连接方式为并联,电流表A1测的是L2与L3的电流之和,电流表A2测的是L1与L2的电流之和,A2测L3的电流,
∵并联电路中干路电流等于各支路电流之和,
∴由题意可:
A1的电流I1=I2′+I3′,
A2的电流I2=I1′+I2′,
A3的示数I3=I3′,
∵I1=1.5I3=1.5I3′,
∴I2′=0.5I3′,I3′=2I2′,
∵I2=0.6A,I1=I2′+I3′,I2=2I1,
∴I2=2(I2′+I3′)=2I2′+2I3′=2I2′+4I2′=6I2′=0.6A,
解得:I2′=0.1A,
I3′=2I2′=2×0.1A=0.2A,
I1′=0.6A-0.1A=0.5A.
故答案为:0.5;0.1;0.2.
点评:我们首先对电路进行简化处理,用电流法去分析电路;因为电流表的内阻很小,把电流表当作导线;电流表测量的是与它串联的用电器的电流,若电流表在干路上则测量的是干路电流.
练习册系列答案
相关题目