题目内容
小明同学在测量矿泉水密度的实验中选用了矿泉水、量筒、天平、烧杯等器材.步骤如下:
(1)用天平测出空烧杯的质量m1;
(2)向量筒内倒入适量的矿泉水,测出其体积为V
(3)将量筒里的矿泉水全部倒入烧杯中,用天平测出烧杯和水的总质量m2
根据以上测量的量写出矿泉水密度的表达式:______
同学们分析后认为小明的实验测出矿泉水的密度______(偏大 偏小)对他的方案提出改进,并只针对步骤(3)进行了改进,改进后的步骤(3)分两步,请你帮他们填写完整:
A.将量筒中部分矿泉水倒入烧杯中,测出矿泉水和烧杯的总质量m2
B.______.
【答案】分析:(1)根据天平的两次测量,算出量筒中矿泉水的质量为m,再读出量筒中矿泉水的体积V,用ρ=
算出矿泉水的密度.
(2)用量筒测出矿泉水的体积V后,再将量筒中的矿泉水倒入烧杯中测质量时,量筒中的矿泉水倒不净,所以倒入烧杯中的矿泉水比量筒中体积为V的矿泉水质量要少.
(3)为了减小误差,可将量筒中部分矿泉水倒入烧杯中,测出矿泉水和烧杯的总质量m2,再读出量筒中剩余水的体积V2,我们利用倒入烧杯中的那部分矿泉水的质量和体积求出其密度.
解答:解:
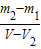
(1)量筒中矿泉水的质量m=m2-m1,体积为V,则矿泉水的密度ρ=
;
(2)本实验的主要问题是量筒壁粘矿泉水,使测出的烧杯中的矿泉水质量偏小,根据ρ=
算出的矿泉水密度偏小;
(3)为了减小误差,可将步骤(3)改为两步先将量筒中部分矿泉水倒入烧杯中,测出矿泉水和烧杯的总质量m2,再读出量筒中剩余水的体积V2,则倒入烧杯中的矿泉水的质量m′=m2-m1,倒入烧杯中的矿泉水的体V′=V-V2,所以矿泉水的密度ρ=
=
.
故答案是:ρ=
;偏小;读出量筒中剩余水的体积V2.
点评:本实验还有一种减小误差的方法:先用天平测出烧杯矿泉水的总质量m1,再将烧杯中的部分矿泉水倒入量筒测出体积为V,并读出剩余矿泉水和烧杯的质量m2,即可求得矿泉水密度.
(2)用量筒测出矿泉水的体积V后,再将量筒中的矿泉水倒入烧杯中测质量时,量筒中的矿泉水倒不净,所以倒入烧杯中的矿泉水比量筒中体积为V的矿泉水质量要少.
(3)为了减小误差,可将量筒中部分矿泉水倒入烧杯中,测出矿泉水和烧杯的总质量m2,再读出量筒中剩余水的体积V2,我们利用倒入烧杯中的那部分矿泉水的质量和体积求出其密度.
解答:解:
(1)量筒中矿泉水的质量m=m2-m1,体积为V,则矿泉水的密度ρ=
(2)本实验的主要问题是量筒壁粘矿泉水,使测出的烧杯中的矿泉水质量偏小,根据ρ=
(3)为了减小误差,可将步骤(3)改为两步先将量筒中部分矿泉水倒入烧杯中,测出矿泉水和烧杯的总质量m2,再读出量筒中剩余水的体积V2,则倒入烧杯中的矿泉水的质量m′=m2-m1,倒入烧杯中的矿泉水的体V′=V-V2,所以矿泉水的密度ρ=
故答案是:ρ=
点评:本实验还有一种减小误差的方法:先用天平测出烧杯矿泉水的总质量m1,再将烧杯中的部分矿泉水倒入量筒测出体积为V,并读出剩余矿泉水和烧杯的质量m2,即可求得矿泉水密度.
练习册系列答案
相关题目