题目内容
如图所示电路中,电源电压U不变,R1=2R2,断开S1 S3,闭合S2,电压表示数为U1,此时电流表示数为2A;断开S2,闭合S1 S3,此时电压表示数为U2,电阻R2消耗功率为36W.求:
(1)电压表的先后示数U1与U2的比值;
(2)电源电压是多少伏;
(3)电路通过不同的变化,所消耗的最大功率与最小功率之比.
(1)电压表的先后示数U1与U2的比值;
(2)电源电压是多少伏;
(3)电路通过不同的变化,所消耗的最大功率与最小功率之比.
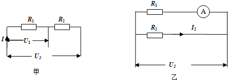
当断开开关S1、S3,闭合S2,电压表的示数为U1,电流表的示数为I,等效电路如图甲所示;
当断开开关S2,闭合开关S1S3,电压表的示数为U2,即为电源电压,等效电路如图乙所示;

(1)图甲中,
∵串联电路中各处的电流相等,
∴根据欧姆定律可得:
=
=
=
,
解得:
=
;
(2)图甲和图乙中,
∵电源电压一定,
∴
=
=
=
,
∴I2=3I=3×2A=6A,
∵P=UI,且P2=36W,
∴U2=
=
=6V;
(3)根据P=
电路中总电压不变,所以当电路中电阻最小时,电功率最大;当电路中电阻最大时,电功率最小,
由题中条件分析,图乙电功率最大,图甲电功率最小,
图甲中,
R串=R1+R2=2R2+R2=3R2,
图乙中,
R并=
=
=
R2,
∴
=
=
=
=
.
答:(1)电压表的先后示数U1与U2的比值为2:3;
(2)电源电压是6伏;
(3)电路通过不同的变化,所消耗的最大功率与最小功率之比为9:2.
当断开开关S2,闭合开关S1S3,电压表的示数为U2,即为电源电压,等效电路如图乙所示;
(1)图甲中,
∵串联电路中各处的电流相等,
∴根据欧姆定律可得:
| U1 |
| U2 |
| IR1 |
| I(R1+R2) |
| R1 |
| R1+R2 |
| 2R2 |
| 2R2+R2 |
解得:
| U1 |
| U2 |
| 2 |
| 3 |
(2)图甲和图乙中,
∵电源电压一定,
∴
| I |
| I2 |
| R2 |
| R1+R2 |
| R2 |
| 2R2+R2 |
| 1 |
| 3 |
∴I2=3I=3×2A=6A,
∵P=UI,且P2=36W,
∴U2=
| P2 |
| I2 |
| 36W |
| 6A |
(3)根据P=
| U2 |
| R |
由题中条件分析,图乙电功率最大,图甲电功率最小,
图甲中,
R串=R1+R2=2R2+R2=3R2,
图乙中,
R并=
| R1R2 |
| R1+R2 |
| 2R2R2 |
| 2R2+R2 |
| 2 |
| 3 |
∴
| P最大 |
| P最小 |
| ||
|
| R串 |
| R并 |
| 3R2 | ||
|
| 9 |
| 2 |
答:(1)电压表的先后示数U1与U2的比值为2:3;
(2)电源电压是6伏;
(3)电路通过不同的变化,所消耗的最大功率与最小功率之比为9:2.
练习册系列答案
相关题目